Управление производительностью труда в социальном обслуживании населения: теоретические и практические аспекты
Шестаков М.А.1
, Селиванова О.В.1 ![]()
1 Всероссийский научно-исследовательский институт труда, Москва, Россия
Скачать PDF | Загрузок: 27
Статья в журнале
Лидерство и менеджмент (РИНЦ, ВАК)
опубликовать статью | оформить подписку
Том 12, Номер 12 (Декабрь 2025)
Эта статья проиндексирована РИНЦ, см. https://elibrary.ru/item.asp?id=89035453
Аннотация:
В условиях демографических изменений, вызванных старением населения, ростом ожидаемой продолжительности жизни существенно возрастает нагрузка на систему социального обслуживания населения, обостряется дефицит кадров.
Повышение производительности труда в сфере социального обслуживания становится необходимым условием развития данной сферы, направленной на расширение возможностей по более полному удовлетворению потребностей населения в социальных услугах.
С 2025 года реализуется федеральный проект по повышению производительности труда в т.ч. в сфере социального обслуживания населения, предполагающий повышение производительности труда на 16%. Вместе с тем, требуют серьезного внимания методические и практические вопросы реализации данного проекта, позволяющие повысить эффективность его реализации и обеспечить достижение поставленных целей.
В предлагаемой статье рассмотрены вопросы управления производительностью труда на основе формирования факторной модели, включающей основные факторы, влияющие на производительность труда в сфере социального обслуживания населения. Также рассмотрены механизмы влияния отдельных факторов на динамику производительности труда, позволяющие разрабатывать различные сценарии достижения целевых значений реализации проекта и осуществлять планирование мероприятий по повышению производительности труда.
Статья представляет интерес как для исследователей, занимающихся проблемами повышения производительности труда в сфере социального обслуживания, так и для работников органов государственной власти, ответственных за реализацию федерального проекта по повышению производительности труда, в т.ч. в сфере социального обслуживания населения.
Ключевые слова: социальное обслуживание, производительность труда, социальные услуги, основной и административно-хозяйственный персонал
JEL-классификация: H53, H55, H75, J24
Введение
Актуальность исследования, результаты которого представлены в данной статье, обусловлена, с одной стороны, объективными факторами, связанными со значительным ростом в ближайшие десятилетия спроса на социальные услуги в связи со старением населения, развитием системы долговременного ухода (к 2030 году численность граждан, получающих услуги по долговременному уходу, должна увеличиться до 500 тыс. чел.), а также расширением мер поддержки семей, что приведет к существенному росту финансовой нагрузки на систему социального обслуживания, а также значительному дефициту кадров. Повышение производительности труда, способствуя повышению эффективности использования, прежде всего, трудовых ресурсов системы социального обслуживания позволит компенсировать растущую нагрузку на систему социального обслуживания и растущий дефицит кадров.
С другой стороны система управления социальным обслуживанием в Российской Федерации децентрализована, т.к. полномочиями по финансированию системы социального обслуживания, определению стандартов предоставления социальных услуг, установлению нормативов штатной численности организаций социального обслуживания наделены субъекты Российской Федерации. Иными словами речь идет о множестве различных региональных систем социального обслуживания, находящихся на различных стадиях развития.
Кроме того, с 2025 года в Российской Федерации реализуется федеральный проект «Производительность труда», входящий в состав национального проекта «Эффективная и конкурентная экономика», Паспортом которого предусмотрено, что к 2030 году производительность труда во всех организациях социального обслуживания (количество социальных услуг, предоставленных организацией социального обслуживания, расчете на одного работника организации социального обслуживания) по сравнению с 2025 годом в среднем должна увеличиться на 16% [1] (см. рисунок 1).
Источник: составлено авт. на основании паспорта федерального проекта «Производительность труда»
Рис.1 – Динамика целевого показателя федерального проекта «Производительность труда» в сфере социального обслуживания
Таким образом, управление производительностью труда, прежде всего, призвано обеспечить оптимальный баланс между ее ростом и достижением целей развития системы социального обслуживания, функционирование которой не регулируется исключительно рыночными законами, что и определяет актуальность исследования, результаты которого представлены в данной статье.
Вопросы роста спроса на социальные услуги, в т.ч. по долговременному уходу и ограниченности ресурсов системы социального обслуживания как предпосылки роста производительности труда в социальном обслуживании населения нашли отражение в работах А. Л. Сафонова, Д. В. Некипелова, Х. В. Шеожева, О. В. Синявской, Е. Л. Якушева, а также авторов данной статьи. В частности, авторами указывается на то, что удовлетворенный спрос на социальные услуги значительно ниже потенциального и в среднесрочной и долгосрочной перспективе потребность населения в социальных услугах значительно вырастет. При этом бюджетные возможности системы, определяющие в том числе предложение социальных услуг ограничены, что ставит неизбежной проблему повышения производительности труда в социальном обслуживании [8, 9, 10, 15, 16].
Методологические аспекты понятия «производительность труда» обстоятельно исследовались Щербаковым А.И. В частности исследовано различие понятий «эффективность труда» и «производительность труда» и что под последним следует понимать «…показатель эффективности производственного использования труда, выражаемый отношением полезного результата непосредственного, живого труда к соответствующим его затратам в виде рабочего времени» [17, 18].
Большой массив научных работ посвящен проблемам измерения и оценки производительности труда, а также её факторному анализу.
Щербаков А.И., Смирнова Е.А., Тарасова Е.А., Постнова, Федченко А.А. и др. выделяют два подхода к измерению производительности труда – натуральный и стоимостной. Первый подход применим, когда организация выпускает однородную продукцию или предоставляет однородные услуги. В случае, когда деятельность организации связана с производством номенклатуры различной продукции, то необходимо применять стоимостную оценку производительности труда [17, 11, 12].
В настоящее время предложено множество моделей оценки и анализа производительности труда. В частности, предложены модели детерминированного факторного анализа производительности труда, суть которого заключается в исследования влияния факторов, связь которых с результативным показателем носит функциональный характер. Также предложены стохастические модели анализа производительности труда, основанные на применении методов корреляционно-регрессионного анализа производительности труда [2, 4, 13].
В зарубежных исследованиях в настоящее время, в том числе для оценки производительности труда в сфере социального обслуживания получил распространение метод «Data Envelopment Analysis» (DEA) или метод оболочечного анализа данных, в основе которого лежит идея границы эффективности и методы линейного программирования. Метод оболочечного анализа данных для анализа производительности труда позволяет проводить сравнительный анализ производительности труда объектов различного уровня [19-22, 24, 26, 28].
Поскольку реализация проектов по производительности труда в различных отраслях экономики основана на применение методов «бережливого производства», то его особенности, а также влияние на управление производительностью труда в различных отраслях экономики послужили предметом научного исследования целого ряда авторов [3, 5, 6, 7].
«Бережливое производство» рассматривается как система управления и организации производства, направленная на максимальное сокращение различных видов потерь и повышение ценности товара (услуги) для конечного потребителя. Опыт применения «бережливого производства», например, в близкой к социальному обслуживанию отрасли социальной сферы - в здравоохранении показал, что применение таких инструментов как картирование потока создания ценности (Value Stream Mapping, VSM), хронометраж и т.д. существенно влияет на рост производительности труда.
Влияние стимулирования труда на повышение производительности труда нашло отражение в исследованиях Богатыревой И.В., Богатырева А.Е. Авторами предложена модель оценки влияния стимулирования труда на повышение производительности труда [1].
Несмотря на большой научный интерес к различным аспектам производительности труда, проблемы измерения, оценки и управления производительностью труда в сфере социального обслуживания не получили должного внимания, что требует разработки соответствующих методических подходов с учетом специфики данной отрасли социальной сферы.
Исходя из вышеизложенного целью представленного в данной статье исследования является разработка методических подходов к управлению производительностью труда в сфере социального обслуживания на основе применения факторного анализа. Объектом исследования является система социального обслуживания населения.
Научная новизна представленного исследования заключается в комплексном подходе к управлению производительностью труда в сфере социального обслуживания, выявлении прямых и косвенных факторов, влияющих на динамику производительности труда, описании механизмов влияния различных факторов на производительность труда в данной сфере.
Авторская гипотеза заключается в том, что сокращение избыточной численности административно-хозяйственного персонала создает условия для роста производительности труда только в том случае, если за счет экономии издержек может быть обеспечен рост численности основного персонала, а сокращение трудоемкости предоставления социальных услуг за счет повышения технологичности предоставления социальных услуг, роста производственного опыта работников из числа основного персонала организаций социального обслуживания, влияя непосредственно на численность последнего, оказывает прямой положительный эффект на производительность труда.
Методология исследования, результаты которого представлены в данной статье основана на системном анализе явлений, связанных с производительностью труда работников организаций социального обслуживания, рассматривающим социальное обслуживание как сложную многоуровневую систему, элементы которой взаимосвязаны и взаимообусловлены, а также теории оптимального управления сложными системами, основанной на определении оптимума функционирования системы.
Информационную базу исследования составили данные ведомственной статистки Минтруда России, а также официальные статистические публикации Росстата России.
Методические и практические аспекты управления производительностью труда в сфере социального обслуживания населения
С точки зрения управления производительностью труда в сфере социального обслуживания важное значение имеет достигнутый к началу реализации проекта уровень производительности труда в сфере социального обслуживания. Статистические характеристики распределения субъектов Российской Федерации по уровню производительности труда представлены в таблице 1 и на рис.2.
Таблица 1 - Статистические характеристики распределения субъектов Российской Федерации по уровню производительности труда (2023-2024 гг.)
|
Наименование показателя
|
Значение показателя
| |
|
2023
|
2024
| |
|
Минимальное значение, усл./раб.
|
52
|
302
|
|
Максимальное значение, усл./раб.
|
19236
|
14014
|
|
Среднее значение, усл./раб.
|
2567
|
2673
|
|
Медиана, усл./раб.
|
2192
|
2149
|
|
Стандартное отклонение, усл./раб.
|
2231
|
1776
|
|
Коэффициент вариации, %
|
115%
|
151%
|
|
Источник: расчеты
авт. по данным федерального статистического наблюдения по форме N
1-соцобслуживание «Сведения о социальном обслуживании граждан»
| ||
Источник: составлено авт. по данным федерального статистического наблюдения по форме N 1-соцобслуживание «Сведения о социальном обслуживании граждан»
Рис.2 – Распределение субъектов Российской Федерации по уровню производительности труда в 2023-2024 гг.
К началу реализации федерального проекта по повышению производительности труда в сфере социального обслуживания уровень производительности труда в 31 субъекте Российской Федерации превышал значение целевого показателя, установленного для 2025 года, в 28 регионах – значение целевого показателя, установленного для 2026 года, а в 25 регионах – значение целевого показателя, установленного для 2030 года.
Анализ достигнутого уровня производительности труда, измеряемого количеством предоставленных социальных услуг на одного работника организации социального обслуживания показывает наличие очень высокой вариации данного показателя между регионами. Даже если исключить из анализа выбросы, то коэффициент вариации составил более 51%.
Высокий разброс значений производительности труда обусловлен двумя причинами: различными стандартами предоставления социальных услуг и неточностями учета сведений о количестве предоставленных социальных услуг.
Дело в том, что на федеральном уровне утвержден лишь примерный перечень социальных услуг [2]. Утверждение же конкретного перечня социальных услуг, предоставляемых организациями социального обслуживания, а также порядка предоставления социальных услуг поставщиками социальных услуг отнесено Федеральным законом от 28 декабря 2013 г. N 442-ФЗ «Об основах социального обслуживания граждан в Российской Федерации» к полномочиям органов государственной власти субъектов Российской Федерации в сфере социального обслуживания [3].
На практике регионы могут включать в региональный перечень социальные услуги, не поименованные в указанном выше постановлении Правительства Российской Федерации. Кроме того, объем предоставления социальных услуг, включающий периодичность и кратность их предоставления определяется исключительно органами власти регионов, что существенно затрудняет анализ уровня производительности труда в сфере социального обслуживания населения.
Одной из целей представленного в данной статье исследования являлось выявление и анализ факторов, влияющих на уровень производительности труда.
Показатель
производительности труда (
) в рамках федерального проекта определяется как отношение
объема предоставленных организациями социального обслуживания (на дому и в
полустационарной формах социального обслуживания) социальных услуг (
) к численности основного (
) и административно-хозяйственного персонала (далее – АХП) (
):
Особенностью социального обслуживания, как и любой иной отрасли социальной сферы является то, что социальные услуги предоставляются не всеми работниками организации социального обслуживания, а только работниками из числа основного персонала. Наиболее ярко это проявляется в предоставлении социального обслуживания на дому, где социальные услуги предоставляются преимущественно только социальными работниками.
С учетом данной особенности формула (1) может быть представлена следующим образом:
где
– производительность
труда основного персонала;
– доля основного
персонала в общей численности персонала организаций социального обслуживания.
Официальные
статистические данные за 2024 год показывают, что производительность труда
основного персонала (
)
варьировалась от 364 социальные услуги на одного работника (Чукотский
автономный округ) до 20377 социальных услуг на одного работника из числа
основного персонала (Московская область) [4]. В среднем
производительность труда основного персонала в 2024 году составила 3894
социальные услуги на одного работника из числа основного персонала организаций
социального обслуживания, предоставляющих социальные услуги на дому и в
полустационарной форме социального обслуживания. Медианное значение
производительности труда основного персонала в 2024 году составило 3095
социальных услуг на одного работника, а коэффициент вариации данного показателя
составил 64,5%.
Доля основного персонала в общей численности персонала организаций социального обслуживания варьировалась от 50% (Республика Тыва) до 87% (Рязанская область). В среднем доля основного персонала в общей численности организаций социального обслуживания в 2024 году составляла 68%, а медианное значение – 69%. Коэффициент вариации составил всего 10,5%. (см. рисунок 3).
Источник: расчеты авт. по данным федерального статистического наблюдения по форме N 1-соцобслуживание «Сведения о социальном обслуживании граждан»
Рис.3 – Распределение субъектов Российской Федерации по уровню производительности труда и доле основного персонала в 2024 году
Высокий разброс значений производительности труда обусловлен двумя причинами: различными стандартами предоставления социальных услуг и неточностями учета сведений о количестве предоставленных социальных услуг.
Дело в том, что на федеральном уровне утвержден лишь примерный перечень социальных услуг [5]. Утверждение же конкретного перечня социальных услуг, предоставляемых организациями социального обслуживания, а также порядка предоставления социальных услуг поставщиками социальных услуг отнесено Федеральным законом от 28 декабря 2013 г. N 442-ФЗ «Об основах социального обслуживания граждан в Российской Федерации» к полномочиям органов государственной власти субъектов Российской Федерации в сфере социального обслуживания [6].
На практике регионы могут включать в региональный перечень социальные услуги, не поименованные в указанном выше постановлении Правительства Российской Федерации. Кроме того, объем предоставления социальных услуг, включающий периодичность и кратность их предоставления определяется исключительно органами власти регионов, что существенно затрудняет анализ уровня производительности труда в сфере социального обслуживания.
Следовательно, использование в качестве показателя производительности труда объема социальных услуг в расчете на одного работника организации социального обслуживания требует приведения объема предоставляемых социальных услуг в субъектах Российской Федерации в сопоставимый вид.
Анализ формулы (2) позволяет сделать вывод о том, что управлять производительностью труда можно воздействуя на уровень производительности труда основного персонала и структуру персонала организаций социального обслуживания.
Основные сценарии влияния динамики производительности и доли основного персонала на повышение производительности труда в сфере социального обслуживания населения представлены на рисунке 4.
Источник: составлено автором
Рис.4 - Основные сценарии влияния динамики производительности и доли основного персонала на повышение производительности труда в сфере социального обслуживания населения
При реализации первого сценария рост производительности труда обеспечивается увеличением доли основного персонала при неизменном уровне его производительности труда.
Реализация второго сценария предполагает, что доля основного персонала остается неизменной, а рост производительности труда обеспечивается за счет роста производительности труда основного персонала.
Третий сценарий предполагает, что рост производительности труда достигается как за счет роста производительности труда основного персонала, так и его доли в общей численности персонала организаций социального обслуживания.
Следует отметить, что повышение производительности труда само по себе в отрыве от целей и задач развития сферы социального обслуживания в целом не может быть единственной целью реализации федерального проекта.
Дело в том, что расширение возможностей системы социального обслуживания по удовлетворению потребности населения в социальных услугах означает, что должно увеличиваться предложение социальных услуг. Предложение социальных услуг в каждый определенный момент времени определяется численностью основного персонала, уровнем его производительности, т.е. напрямую не зависит от структуры персонала организации социального обслуживания.
Таким образом, увеличение доли основного персонала повлияет на увеличение показателя производительности труда, но напрямую не приведет к росту предложения социальных услуг для населения, т.к. для этого необходимо трансформировать экономию вследствие сокращения численности АХП в прирост основного персонала, непосредственно предоставляющего социальные услуги.
Механизм
такой трансформации может быть описан следующим образом. Потенциальный прирост
численности основного персонала (
) вследствие сокращения численности
административно-управленческого персонала, что эквивалентно росту доли
основного персонала в общей численности персонала организации социального
обслуживания, может быть определен из следующего выражения:
где
– экономия издержек,
связанных с деятельностью административно-хозяйственного персонала;
– численность
высвободившихся вследствие мероприятий по повышению производительности труда
работников из числа административно-хозяйственного персонала;
,
– удельные издержки,
связанные с деятельностью основного и административно-хозяйственного персонала.
В
целях демонстрации описанного выше механизма ниже представлен условный пример. Пусть
в периоде t численность основного персонала составляла 10 человек (
), а численность
административно-хозяйственного персонала – 40 чел. (
. Средняя
производительность труда основного персонала составляет 2500 услуг в год (
. Удельные издержки,
связанные с деятельностью основного и административно-хозяйственного персонала
составляли 50000 руб. и 30000 руб. соответственно (
). В результате
проведения мероприятий по повышению производительности труда в периоде t+1 численность
административно-хозяйственного персонала была сокращена на 8 чел. (
). Тогда потенциальный
прирост численности основного персонала составит:
Потенциальный рост
производительности труда составит 7,3%. Потенциальный прирост предложения
социальных услуг составит 12500 услуг в год или увеличится на 5%.
Как уже было отмечено выше, фактором, оказывающим прямое влияние на рост производительности труда в сфере социального обслуживания, является рост производительности труда основного персонала. Представляется целесообразным более подробно рассмотреть механизм влияния данного фактора на рост производительности труда и предложения социальных услуг населению.
Несложно
показать, что количество услуг, которое может быть предоставлено одним
работником из числа основного персонала организации социального обслуживания,
зависит от фонда рабочего времени работников из числа основного персонала (
) и среднего времени
предоставления социальной услуги (
:
Поскольку фонд рабочего времени определен нормативно и может быть принят как постоянная величина, то уровень производительности труда основного персонала будет зависеть от среднего времени предоставления социальной услуги, из чего следует, что увеличение производительности труда основного персонала возможно при сокращении среднего времени предоставления социальной услуги.
Факторами, способными оказать влияние на сокращение среднего времени предоставления социальной услуги, являются: повышение технологичности предоставления социальных услуг за счет автоматизации отдельных процессов, а также рост профессионального мастерства. Представляется целесообразным рассмотреть данные факторы более подробно.
В целом время
предоставления социальной услуги
) состоит из времени, необходимого
для выполнения нескольких групп операций: время на подготовительные операции (
), время непосредственного
предоставления социальной услуги (
и времени на оформление
и сдачу отчетности (
):
Введем следующие соотношения:
,
. Тогда
). Изменение
производительности труда основного персонала вследствие изменения времени на
выполнение различных блоков операций (
), составляющих
социальную услугу, можно определить по формуле:
Практическое
значение данной формулы заключается в том, что она позволяет определить,
например, насколько вырастет производительность труда основного персонала,
если, например, подготовительное время сократиться с 50% до 30% времени
непосредственного предоставления социальной услуги, а время на оформление
отчетности сохранится на уровне 25% от основного времени. Тогда, используя
формулу (6) получаем:
.
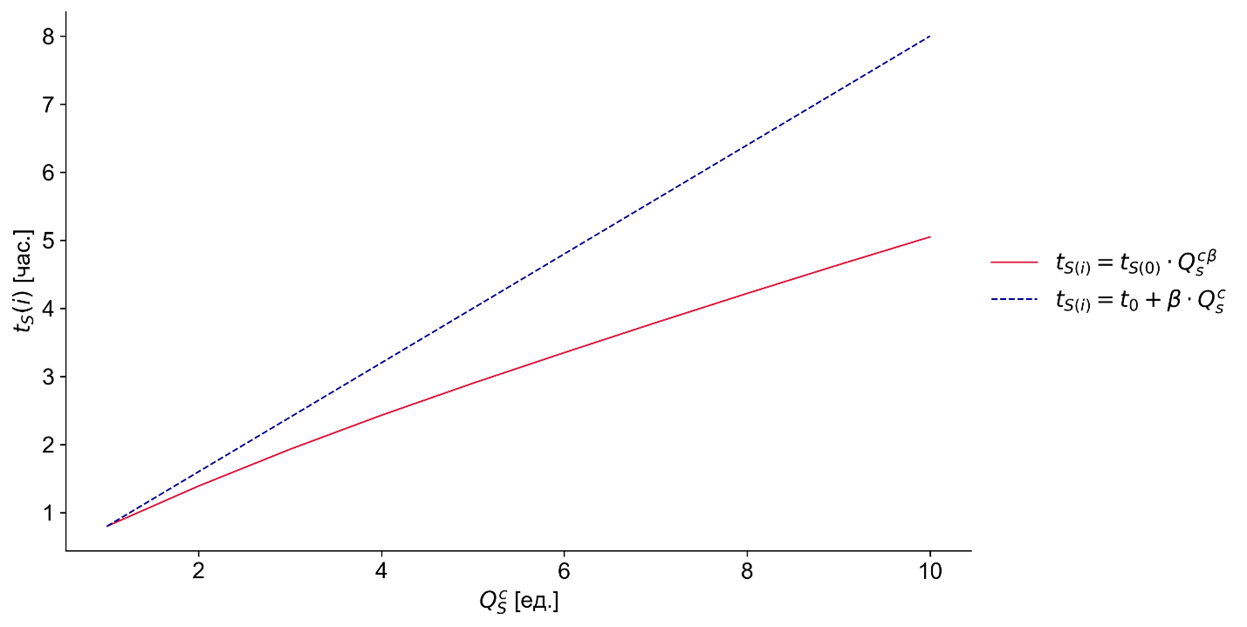
Рост производственного опыта (мастерства) в контексте данного исследования означает, что с ростом общего количества предоставленных социальных услуг время предоставления социальной услуги при прочих равных условиях сокращается, т.е. наблюдается эффект обучения в процессе деятельности. Данный эффект в научной литературе получил название «эффект кривой обучения (опыта)» [14-17]. В формализованном виде он может быть описан следующим образом:
где
–
среднее время предоставления i-й по
порядку социальной услуги;
время
предоставления первой по порядку социальной услуги;
–
накопленный объем предоставленных социальных услуг;
–
параметр обучения.
Зависимость между накопленным объемом предоставленных социальных услуг и накопленным временем их предоставления с учетом эффекта обучения представлен на рисунке.
Источник: составлено автором
Рис. 5 - Зависимость между накопленным объемом предоставленных социальных услуг и накопленным временем их предоставления с учетом эффекта обучения в процессе деятельности
Подставив уравнение (7) в (4) получается зависимость производительности труда основного персонала от роста производственного опыта (мастерства) работников:
Практическое значение данной формулы заключается в том, что она позволяет произвести расчет роста производительности труда основного персонала вследствие эффекта обучения при увеличении объема предоставления социальных услуг, например, вдвое. Относительный рост производительности труда основного персонала можно рассчитать по следующей формуле:
Например, эмпирически
определено, что b=-0,05. Накопленный объем услуг к периоду t0 составляет 2500 ед. (
ед.).
Увеличение объема предоставления социальных услуг в 2 раза только за счет роста
опыта (профессионального мастерства) работников из числа основного персонала
организации социального обслуживания позволит повысить производительность труда
на 3,5% (
).
Описанные выше в формализованном виде механизмы влияния различных факторов на рост производительности труда и предложение социальных услуг позволяют управлять производительностью труда, выявлять резервы роста производительности труда и проводить сценарные расчеты различных вариантов проведения мероприятий по повышению производительности труда в сфере социального обслуживания.
Заключение
Амбициозные цели по повышению производительности труда в сфере социального обслуживания требуют проработки целого комплекса вопросов методического и практического характера. Одним из ключевых вопросов, на котором было сосредоточено исследование, результаты которого представлены в данной статье, являлось выявление факторов, влияющих на производительность труда в сфере социального обслуживания, выявление и описание механизмов их влияния на производительность труда, построение комплексной факторной модели как основы управления производительностью труда.
В качестве основных факторов, оказывающих влияние на производительность труда, управление которыми позволит повысить ее уровень, определены рост производительности труда основного персонала и изменение структуры персонала путем увеличения доли основного персонала в общей численности персонала организаций социального обслуживания.
Показано, что рост производительности труда основного персонала может быть обеспечен за счет роста автоматизации процесса предоставления социальных услуг и роста профессионального мастерства основного персонала.
Доля основного персонала может быть повышена за счет оптимизации вспомогательных процессов, в т.ч. за счет централизации вспомогательных функций или аутсорсинга.
Вместе с тем на основе проведенного анализа автор пришел к выводу о том, что измерение производительности труда путем отношения объема предоставленных социальных услуг к численности работников организаций социального обслуживания требует приведения объема предоставленных социальных услуг в сопоставимый вид ввиду различных стандартов предоставления социальных услуг, действующих на региональном уровне.
Механизмы влияния отдельных факторов на динамику производительности труда, описанные в статье, позволяют определять сценарии повышения производительности труда, а также оценивать эффект от реализации тех или иных мероприятий по повышению производительности труда.
[1] Следует отметить, что в контур федерального проекта входят только организации социального обслуживания, находящиеся в ведении субъектов Российской Федерации и предоставляющие социальные услуги в надомной и полустационарной формах социального обслуживания.
[2] Постановление Правительства РФ от 24 ноября 2014 г. N 1236 «Об утверждении примерного перечня социальных услуг по видам социальных услуг»
[3] См.: статья 8 Федерального закона №442-ФЗ.
[4] Анализ показал, что данное значение следует считать выбросом
[5] Постановление Правительства РФ от 24 ноября 2014 г. N 1236 «Об утверждении примерного перечня социальных услуг по видам социальных услуг»
[6] См.: статья 8 Федерального закона №442-ФЗ.
Источники:
2. Бурцева Т.А. Прогнозирование роста региональной производительности труда // Экономика труда.– 2023. – Том 10. – № 3. – С. 387-396. doi: 10.18334/et.10.3.117464.
3. Ивашинников А. В., Нямцу А. М., Шуплецова В. А. Бережливое производство в здравоохранении. Тюмень: РИЦ «Айвекс», 2019.
4. Михненко П.А. Экономико-статистический анализ факторов роста производительности труда на российских промышленных предприятиях. Управленческие науки = Management Sciences in Russia. 2021;11(2):6-23. DOI: 10.26794/2404-022X 2021-11-2-6-23.
5. Потапов И.В., Овчинников Д.А., Конради А.О. Бережливые технологии в медицинской помощи: текущий статус и дальнейшие возможности в России. Обзор литературы // ОРГЗДРАВ: новости, мнения, обучение. Вестник ВШОУЗ. 2020. Т. 6, № 4. С. 78-103. DOI: 10.24411/2411-8621-2020-14005.
6. Пытьев Н.Н. Бережливое производство: контринтуитивные подходы к повышению операционной эффективности // Лидерство и менеджмент. – 2025. – Том 12. – № 5. – С. 1091–1108. doi: 10.18334/lim.12.5.123039.
7. Русова В.С. Экономка должна быть экономной или здравоохранение по технологии «ЛИН» // Креативная экономика. – 2019. – Том 13. – № 2. – С. 303-310. doi: 10.18334/ce.13.1.39774.
8. Сафонов, А. Л. Оценка реализации системы долговременного ухода и ее бюджетирования в Российской Федерации / А. Л. Сафонов, И. И. Тимонин, Х. В. Шеожев // Креативная экономика. – 2024. – Т. 18, № 7. – С. 1801-1816. – DOI 10.18334/ce.18.7.121179. – EDN JPXJPY.
9. Сафонов, А. Л. Развитие и совершенствование системы долговременного ухода в России / А. Л. Сафонов, Д. В. Некипелова // Проблемы социальной гигиены, здравоохранения и истории медицины. – 2024. – Т. 32, № S1. – С. 652-658. – DOI 10.32687/0869-866X-2024-32-s1-652-658. – EDN YXJRAJ.
10. Система долговременного ухода: уроки международного опыта для России [Текст] : докл. к XXIII Ясинской (Апрельской) на междунар. науч. конф. по проблемам развития экономики и общества, Москва, 2022 г. ; Нац. ис след. ун-т «Высшая школа экономики» / Е. В. Селезнева, О. В. Синявская, Е. Л. Якушев, Е. С. Горват, Н. Б. Грищенко, Д. Е. Карева ; науч. ред. О.В. Си нявская. — М. : Изд. дом Высшей школы экономики, 2022. — 156 с.
11. Смирнова Е.А., Тарасова Е.А., Постнова М.В. Методологические аспекты измерения производительности // Экономика труда. – 2018. – Том 5. – № 4. – С. 1263-1276. doi: 10.18334/et.5.4.39640
12. Федченко А.А. Методические подходы к исследованию производительности труда // Экономика труда. — 2016. — Т. 3. — № 1. — С. 41–62. — doi: 10.18334/et.3.1.35153
13. Френкель А.А. Многофакторные корреляционные модели производительности труда. Изд-во: Ленанд, 2022. 100 с.
14. Хендерсон Б. Д. (2007). Рассмотрение кривой опыта: почему это работает? 1974 // К. Штерн, Дж. Сток-мл. Стратегии, которые работают. Подход BCG. Издательство Манн, Иванов и Фсрбср, 496 с.
15. Шестаков, М. А. Повышение эффективности функционирования системы социального обслуживания / М. А. Шестаков // Социальное страхование и пенсионные системы: вызовы XXI века и пути их решения, МОСКВА, 25 октября 2021 года. – МОСКВА: ООО "Научно-издательский центр ИНФРА-М", 2023. – С. 166-178. – EDN BUGYDI.
16. Шестаков, М. А. Спрос на социальные услуги: оценка, анализ и прогнозирование / М. А. Шестаков // Экономика, предпринимательство и право. – 2023. – Т. 13, № 12. – С. 6035-6058. – DOI 10.18334/epp.13.12.120217. – EDN KQTIMK.
17. Щербаков А.И. Измерение производительности труда. Социально-трудовые исследования. 2023;52(3):80-86. DOI: 10.34022/2658- 3712-2023-52-3-80-86.
18. Щербаков А.И. Производительность труда, как экономическая категория и обобщенный показатель эффективности. Социально трудовые исследования. 2022;48(3):27-34. DOI: 10.34022/2658-3712-2022-48-3-27-34.
19. Berta W, Laporte A, Kachan N. Unpacking the relationship between operational efficiency and quality of care in Ontario long-term care homes. Can J Aging. 2010;29:543–56. doi: 10.1017/S0714980810000553. https://doi.org/10.1017/S0714980810000553
20. Duffy JAM, Fitzsimmons JA, Jain N. Identifying and studying “best-performing” services: an application of DEA to long-term care. Benchmark Int J. 2006;13:232–51. doi: 10.1108/14635770610668767. https://doi.org/10.1108/ 14635770610668767
21. European Commission. 2021. Study on Exploring the Incidence and Costs of Informal Long-Term Care in the EU. Luxembourg: Publications Office of the European Union.
22. Fatih Cemil Ozbugday, Abdullah Tirgil, Elif Gul Kose, Efficiency changes in long-term care in OECD countries: A non-parametric Malmquist Index approach, Socio-Economic Planning Sciences, Volume 70, 2020, 100733, ISSN 0038-0121/
23. Jeang, Angus. (2015). Learning curves for quality and productivity. International Journal of Quality & Reliability Management. 32. 815-829. 10.1108/IJQRM-04-2013-0073.
24. Mercadier, A.C.; Belmonte-Martín, I.; Ortiz, L. Falling Short on Long-Term Care Efficiency Change? A Non-Parametric Approach. Economies 2024, 12, 341. https://doi.org/10.3390/economies12120341.
25. Orgill, D. (2015). Surgical learning curves and operative efficiency: a cross-specialty observational study. BMJ Open. https://doi.org/10.1136/BMJOPEN-2014-006679.
26. Tran A, Nguyen KH, Gray L, Comans T. A Systematic Literature Review of Efficiency Measurement in Nursing Homes. Int J Environ Res Public Health. 2019 Jun 20;16(12):2186. doi: 10.3390/ijerph16122186. PMID: 31226787; PMCID: PMC6616898.
27. Waldman, Deane & Yourstone, Steven & Smith, Howard. (2003). Learning Curves in Health Care. Health care management review. 28. 41-54. 10.1097/00004010-200301000-00006.
28. Yang W, Forder J, Nizalova O. Measuring the productivity of residential long-term care in England: methods for quality adjustment and regional comparison. Eur J Health Econ. 2017 Jun;18(5):635-647. doi: 10.1007/s10198-016-0816-z. Epub 2016 Jul 16. PMID: 27422731; PMCID: PMC5438827.
Страница обновлена: 27.05.2026 в 13:36:25
Download PDF | Downloads: 27
Labor productivity management in social services: theoretical and practical aspects
Shestakov M.A., Selivanova O.V.Journal paper
Leadership and Management
Volume 12, Number 12 (december 2025)
Abstract:
Amid demographic changes caused by an aging population and rising life expectancy, the burden on the social services system is significantly increasing, and staff shortages are becoming more acute.
Increasing labor productivity in social services is becoming a prerequisite for the development of this sector, aimed at expanding the capacity to more fully meet the population's needs for social services.
Since 2025, a federal project to increase labor productivity, including in social services, has been implemented.
The project aims to increase labor productivity by 16%. However, the methodological and practical aspects of this project's implementation require serious attention, allowing for greater efficiency and the achievement of its goals.
The article examines issues of labor productivity management based on the development of a factor model incorporating the main factors influencing labor productivity in social services. The article examines the mechanisms by which individual factors influence labor productivity dynamics, enabling the development of various scenarios for achieving project targets and the planning of measures to improve labor productivity. The article will be of interest to both researchers working on improving labor productivity in social services and government officials responsible for implementing federal projects to improve labor productivity, including in social services.
Keywords: social services, labor productivity, social services, front-line and administrative staff
JEL-classification: H53, H55, H75, J24
References:
Study on Exploring the Incidence and Costs of Informal Long-Term Care in the EU (2021). Luxembourg: Publications Office of the European Union.
Demand for social services: assessment, analysis, and forecasting. (2023). Journal of Economics, Entrepreneurship and Law. 13 (12). 6035-6058. doi: 10.18334/epp.13.12.120217.
Berta W., Laporte A., Kachan N. (2010). Unpacking the relationship between operational efficiency and quality of care in Ontario long-term care homes Canadian Journal on Aging. 29 543-556. doi: 10.1017/S0714980810000553.
Bogatyreva I.V., Bogatyrev A.E. (2022). Assessment of the impact of material interest and labor activity of personnel on the growth of labor productivity. Russian Journal of Labor Economics. 9 (4). 827-840. doi: 10.18334/et.9.4.114465.
Burtseva T.A. (2023). Forecasting the growth of regional labor productivity. Russian Journal of Labour Economics. 10 (3). 387-396. doi: 10.18334/et.10.3.117464.
Fedchenko A.A. (2016). Methodological approaches to studying the labor productivity. Russian Journal of Labor Economics. 3 (1). 41-62. doi: 10.18334/et.3.1.35153.
Frenkel A.A. (2022). Multifactorial correlation models of labor productivity Moscow: Lenand.
Ivashinnikov A.V., Nyamtsu A.M., Shupletsova V.A. (2019). Lean manufacturing in healthcare Tyumen: RITs «Ayveks».
Jeang Angus (2015). Learning curves for quality and productivity International Journal of Quality & Reliability Management. 32 815-829. doi: 10.1108/IJQRM-04-2013-0073.
Jo Ann M. Duffy, James A. Fitzsimmons, Nikhil Jain (2006). Identifying and studying “best-performing” services: an application of DEA to long-term care Benchmarking: An International Journal. 13 (3). 232-251. doi: 10.1108/14635770610668767.
Khenderson B.D. (2007). Considering the experience curve: Why does it work? Moscow: Mann, Ivanov i Ferber.
Mercadier A.C., Belmonte-Martín I., Ortiz L. (2024). Falling Short on Long-Term Care Efficiency Change? A Non-Parametric Approach Economies. 12 (12). 341. doi: 10.3390/economies12120341.
Mikhnenko P.A. (2021). ECONOMIC AND STATISTICAL ANALYSES OF LABOR PRODUCTIVITY GROWTH AT RUSSIAN INDUSTRIAL ENTERPRISES: KEY FACTORS. Upravlencheskie nauki. 11 (2). 6-23. doi: 10.26794/2404-022X-2021-11-2-6-23.
Orgill D. (2015). Surgical learning curves and operative efficiency: a cross-specialty observational study BMJ Open. 5 (3). e006679. doi: 10.1136/BMJOPEN-2014-006679.
Ozbugday F.C., Tirgil A., Kose E.G. (2020). Efficiency changes in long-term care in OECD countries: A non-parametric Malmquist Index approach Socio-Economic Planning Sciences. 70 100733. doi: 10.1016/j.seps.2019.100733.
Potapov I.V., Ovchinnikov D.A., Konradi A.O. (2020). LEAN TECHNOLOGIES IN HEALTHCARE: CURRENT STATE OF AFFAIRS AND FUTURE OPPORTUNITIES IN RUSSIA. ANALYTICAL REVIEW. ORGZDRAV: novosti, mneniya, obuchenie. Vestnik VShOUZ. 6 (4(22)). 78-103. doi: 10.24411/2411-8621-2020-14005.
Pytev N.N. (2025). Lean manufacturing: counterintuitive approaches to improving operational efficiency. Leadership and Management. 12 (5). 1091-1108. doi: 10.18334/lim.12.5.123039.
Rusova V.S. (2019). The economy should be economical or LEAN health care technology. Creative Economy. 13 (2). 303-310. doi: 10.18334/ce.13.1.39774.
Safonov A.L., Nekipelova D.V. (2024). DEVELOPMENT AND IMPROVEMENT OF THE LONG-TERM CARE SYSTEM IN RUSSIA. Problemy sotsialnoy gigieny, zdravookhraneniya i istorii meditsiny. 32 652-658. doi: 10.32687/0869-866X-2024-32-s1-652-658.
Safonov A.L., Timonin I.I., Sheozhev Kh.V. (2024). Assessment of the budget allocated to the long-term care system in the Russian Federation. Creative Economy. 18 (7). 1801-1816. doi: 10.18334/ce.18.7.121179.
Scherbakov A.I. (2022). LABOR PRODUCTIVITY AS AN ECONOMIC CATEGORY AND A GENERALIZED INDICATOR OF EFFICIENCY. Sotsialno-trudovye issledovaniya. (3(48)). 27-34. doi: 10.34022/2658-3712-2022-48-3-27-34.
Scherbakov A.I. (2023). MEASURING LABOR PRODUCTIVITY. Sotsialno-trudovye issledovaniya. (3(52)). 80-86. doi: 10.34022/2658-3712-2023-52-3-80-86.
Selezneva E.V., Sinyavskaya O.V. i dr. (2022). Long-term care system: lessons from international experience for Russia M.: Izd. dom Vysshey shkoly ekonomiki.
Shestakov M.A. (2023). IMPROVING THE EFFICIENCY OF THE FUNCTIONING OF THE SOCIAL SERVICE SYSTEM Social insurance and pension systems: challenges of the 21st century and ways to solve them. 166-178.
Smirnova E.A., Tarasova E.A., Postnova M.V. (2018). Productivity measurement methodological aspects. Russian Journal of Labor Economics. 5 (4). 1263-1276. doi: 10.18334/et.5.4.39640.
Tran A/, Nguyen KH/, Gray L/, Comans T. (2019). A Systematic Literature Review of Efficiency Measurement in Nursing Homes International Journal of Environmental Research and Public Health. 16 (12). 2186. doi: 10.3390/ijerph16122186.
Waldman J. Deane, Yourstone Steven A., Smith Howard L. (2003). Learning Curves in Health Care Health care management review. 28 41-54. doi: 10.1097/00004010-200301000-00006.
Yang W., Forder J., Nizalova O. (2017). Measuring the productivity of residential long-term care in England: methods for quality adjustment and regional comparison The European Journal of Health Economics. 18 (5). 635-647. doi: 10.1007/s10198-016-0816-z.
