Прогнозирование потребности сферы социального обслуживания в кадрах с учетом внедрения долговременного ухода
Шестаков М.А.1 ![]()
1 Всероссийский научно-исследовательский институт труда, Москва, Россия
Скачать PDF | Загрузок: 11
Статья в журнале
Креативная экономика (РИНЦ, ВАК)
опубликовать статью | оформить подписку
Том 19, Номер 12 (Декабрь 2025)
Эта статья проиндексирована РИНЦ, см. https://elibrary.ru/item.asp?id=88907122
Аннотация:
Президентом Российской Федерации В.В. Путиным поставлена задача к 2030 году увеличить численность граждан пожилого возраста и инвалидов, получающих услуги долговременного ухода, не менее чем до 500 тыс. человек из числа наиболее нуждающихся в таких услугах.
Значительное увеличение численности граждан, получающих социальные услуги в связи с внедрением системы долговременного ухода, остро ставит проблему кадрового обеспечения системы социального обслуживания, т.к. внедрение системы долговременного ухода затрагивает также и традиционные формы предоставления социальных услуг.
В рамках проведенного исследования, результаты которого изложены в данной статье, разработан и частично апробирован методический подход к планированию численности работников системы социального обслуживания населения с учетом перспектив развития спроса и предложения как на услуги по долговременному уходу, так и на другие виды социальных услуг.
Статья представляет интерес как для исследователей, занимающихся проблемами развития системы долговременного ухода, так и для работников органов государственной власти, ответственных за реализацию пилотного проекта по созданию системы долговременного ухода в Российской Федерации.
Ключевые слова: социальное обслуживание, долговременный уход, прогноз численности, социальные услуги, нуждаемость, спрос, предложение
JEL-классификация: H55, H75, I38, H59
Введение
Актуальность исследования, результаты которого представлены в данной статье обусловлена поставленной Президентом Российской Федерации В.В. Путиным задачи по увеличению к 2030 году численности граждан пожилого возраста и инвалидов, получающих услуги долговременного ухода, не менее чем до 500 тыс. человек из числа наиболее нуждающихся в таких услугах [1]. При этом объем социального обслуживания, предоставляемый в рамках системы долговременного ухода, а, следовательно, и его трудоемкость существенно выше, чем в рамках традиционного надомного обслуживания. При этом, граждане, получающие социальные услуги в рамках системы долговременного ухода, также сохраняют право на получение иных социальных услуг в надомной форме социального обслуживания, не входящими в социальный пакет долговременного ухода.
В связи с этим достижение поставленных целей требует прогнозирования потребности сферы социального обслуживания в кадрах с учетом внедрения долговременного ухода, что обусловливает актуальность представленного исследования.
Развитие долговременного ухода в Российской Федерации сравнительно недавно стало предметом научного интереса со стороны отечественных исследователей.
Комплексный анализ, включая зарубежный опыт, развития долговременного ухода нашел отражение в докладе «Система долговременного ухода: уроки международного опыта для России» [9], а также в исследованиях А.Л. Сафонова, Синявской О.В., Некипелова Д.В., Долженковой Ю.В., Прокофьевой Л.М. и др. [2, 3, 6-8] Растущий спрос на услуги по долговременному уходу авторы связывают со старением населения. При этом авторами отмечается, что система социального обслуживания, традиционно финансируемая в значительной степени за счет бюджетных средств, столкнется с рисками дефицита кадров [14-17]
Проблемы дефицита компетенций в социальной сфере в целом и в сфере социального обслуживания в частности, нашли отражение в работе Петровой С.А. с соавт. [5].
Вопросы прогнозирования численности граждан, имеющих право на долговременный уход освещались в работе Э. Р. Мусина [4]. Основываясь на ретроспективных данных о численности граждан пожилого возраста и инвалидов он сделал прогноз спроса на долговременный уход.
Различные аспекты планирования численности персонала организаций социального обслуживания, в т.ч. в связи с внедрением системы долговременного ухода освещены в работах автора данной статьи [10, 12, 13].
В данных исследованиях уделено вниманию формированию нормативов численности работников как основы для моделирования и прогнозирования численности персонала организаций социального обслуживания.
Различные аспекты моделирования и прогнозирования спроса на труд рассмотрены в работах Тырсина А.Н., Васильевой Е.В., Бородина С.Н. [1, 11].
Вместе с тем отсутствуют исследования, связанные с прогнозированием потребности системы социального обслуживания в кадрах, что обусловливает актуальность исследования, результаты которого представлены в данной статье.
Исходя из вышеизложенного целью исследования является прогноз потребности сферы социального обслуживания в кадрах с учетом внедрения долговременного ухода.
Научная новизна представленного исследования заключается в разработке методического подхода к прогнозированию потребности сферы социального обслуживания в кадрах с учетом внедрения долговременного ухода и его апробации с учетом нуждаемости граждан в социальном обслуживании, участии родственников в предоставлении социальных услуг по уходу.
Методология представленного исследования основана на системном анализе и моделировании спроса на труд в сфере социального обслуживания с учетом нуждаемости граждан в социальном обслуживании.
Информационную базу исследования составили данные ведомственной статистики Минтруда России и официальной статистической информации Росстата.
1. Методический подход к прогнозированию потребности сферы социального обслуживания в кадрах с учетом внедрения системы долговременного ухода
Вообще термин «долговременный уход» относительно недавно вошел в как в практику работы социальной службы, так и в научный оборот, и под ним, согласно официальным документам, понимается «…ориентированный на граждан пожилого возраста и инвалидов скоординированный способ предоставления необходимой им помощи, позволяющий поддерживать их здоровье, функциональность, социальные связи, интерес к жизни» [2].
По состоянию на начало 2025 года численность граждан, получающих социальные услуги по уходу в рамках реализации пилотного проекта по созданию и внедрению системы долговременного ухода (далее – СДУ), составляла 173,13 тыс чел. [3]
Основной формой предоставления социальных услуг по уходу в рамках СДУ является надомная форма социального обслуживания. На дому социальные услуги по уходу получают 80,5% всех граждан, получающих социальные услуги по уходу в рамках СДУ [4].
В зависимости от индивидуальной потребности в долговременном уходе гражданин по результатам оценки нуждаемости в социальных услугах относится к определенному уровню нуждаемости [5].
Действующим нормативным документом, определяющим реализацию пилотного проекта по созданию системы долговременного ухода предусмотрено 3 уровня нуждаемости в уходе, различающихся объемом предоставляемого социального пакета долговременного ухода (см. рисунок 1).
Источник: составлено авт. на основании Федерального закона от 28 декабря 2013 г. N 442-ФЗ «Об основах социального обслуживания граждан в Российской Федерации»
Рисунок 1 – Нормативный объем социального пакета долговременного ухода в зависимости от уровня нуждаемости гражданина в уходе
Распределение граждан, получающих социальные услуги в рамках системы социального обслуживания, по уровням нуждаемости в уходе, представлено на рисунке 1.
Источник: составлено авт. по данным ведомственной статистики
Рисунок 1 – Распределение граждан, получающих социальные услуги по уходу в рамках реализации пилотного проекта по созданию СДУ (ноябрь 2024 года) (%)
Исходя из того, что на конец 2024 года численность граждан, получающих социальные услуги по уходу в рамках реализации пилотного проекта по созданию СДУ составляет 173,3 тыс. чел., а также учитывая то, что целевое значение по охвату услугами долговременного ухода составляет 500,0 тыс. чел. к 2030 году, то можно определить целевой среднегодовой темп роста численности граждан, получающих социальные услуги по уходу в рамках СДУ [6], и сделать прогноз численности граждан по годам планового периода (см. рисунок 2).
Примечание. Значение
численности граждан, получающих социальные услуги по уходу в рамках СДУ за 2024
год соответствует данным ведомственной статистики на 25.12.2024 г. Значение на
2030 год получено из Указа Президента Российской Федерации от 7 мая 2024 г. N
309 «О национальных целях развития Российской Федерации на период до 2030 года
и на перспективу до 2036 года». Прогноз сделан на основании среднегодового
темпа роста по следующей формуле:
Источник: расчеты авт. на основании расчетов среднегодового темпа роста численности граждан, получающих социальные услуги по уходу в рамках СДУ.
Рисунок 2 - Прогноз численности граждан, получающих социальные услуги по уходу в рамках СДУ до 2030 года (чел.)
Возвращаясь к поставленной задаче о значительном увеличении к 2030 году численности граждан, получающих услуги долговременного ухода, следует отметить, что ее реализация потребует также значительного увеличения численности работников СДУ, т.к. социальные услуги по уходу, предоставляемые в рамках данной системы являются весьма трудоемкими.
В настоящее время в организациях социального обслуживания, предоставляющих социальные услуги по уходу в рамках СДУ, к основному персоналу следует отнести помощников по уходу и организаторов ухода.
По состоянию на ноябрь 2024 года общая численность работников, участвующих в предоставлении социальных услуг по уходу в рамках СДУ составила 48924 чел. Структура основного персонала СДУ представлена на рисунке 3.
Источник: составлено авт. по данным ведомственной статистики
Рисунок 3 – Структура персонала, участвующего в предоставлении услуг по долговременному уходу (по данным на конец 2024 года)q
Из данных, представленных на графике видно, что более 96% в структуре основного персонала СДУ занимают помощники по уходу и 3,8% это организаторы ухода.
Таким образом, фактическая нагрузка на одного помощника по уходу составляет 3,68 чел. из числа граждан, получающих социальные услуги по уходу в рамках СДУ.
На одного организатора ухода приходится 93,2 чел. из числа граждан, получающих социальные услуги по уходу в рамках СДУ.
Следует отметить, что одной из целей внедрения СДУ является возможность лицу или лицам, осуществляющим родственный уход за гражданином, признанным нуждающимся в долговременном уходе и получающем социальные услуги по уходу в рамках СДУ, продолжить осуществлять уход, заключив трудовой договор с организацией социального обслуживания и устроившись на работу, например, помощником по уходу.
По состоянию на начало ноября 2024 года численность лиц, осуществляющих родственный уход за гражданами, получающими социальные услуги по уходу в рамках СДУ, составила 14692 чел. или 31,2% от общей численности помощников по уходу.
Таким образом, более чем на 30% должности помощников по уходу замещаются лицами, осуществляющими родственный уход, что является важной особенностью СДУ и фактором, который необходимо учитывать при прогнозировании численности работников данной системы.
По мнению автора нельзя также не учитывать и тот факт, что увеличение охвата граждан пожилого возраста и инвалидов услугами по долговременному уходу не исключает потребность указанных граждан в получении социальных услуг в форме социального обслуживания на дому в соответствии с Федеральным законом от 28 декабря 2013 г. N 442-ФЗ «Об основах социального обслуживания граждан в Российской Федерации».
По сути, речь идет о некоем мультипликативном эффекте роста потребности в работниках сферы социального обслуживания за счет наличия сопряженного (косвенного) эффекта, проявляющегося в том, что увеличение услуг по долговременному уходу влечет также увеличение социальных услуг, предоставляемых в форме социального обслуживания на дому.
Объем совокупного спроса на социальные
услуги по долговременному уходу в определенный период времени (
)
зависит от численности граждан, признанных нуждающимися в предоставлении таких
услуг (
),
а также от количества часов ухода (
),
определяемых в соответствии с нуждаемостью гражданина и может быть описан
следующей функцией [7]:
где
–
совокупный спрос на услуги по долговременному уходу в период времени t;
–
численность граждан, признанных нуждающимися в предоставлении услуг по
долговременному уходу;
–
количество часов ухода, предоставляемых i-му
гражданину, в соответствии с уровнем его нуждаемости в уходе;
–
среднее количество часов ухода, предоставляемых гражданам, признанным
нуждающимися в уходе, в соответствии с уровнем нуждаемости в нем; 1…N
– индексы суммирования.
При этом следует учитывать, что величина спроса на услуги по долговременному уходу включает в себя как текущий спрос, так и ожидаемый спрос на такие услуги, т.е. справедливо выражение:
где
–
текущий спрос на услуги по долговременному уходу;
–
ожидаемый в течение периода дополнительный спрос на услуги по долговременному
уходу.
Ожидаемый в течение периода дополнительный
спрос на услуги по долговременному уходу (
)
является вероятностной величиной и зависит от функции распределения вероятности
количества часов, необходимых для предоставления услуг по уходу (
).
Тогда ожидаемый дополнительный спрос на услуги по долговременному уходу может быть определен из следующего выражения:
где
–
математическое ожидание количества часов, необходимых для предоставления услуг
по уходу.
В свою очередь объем совокупного предложения
услуг по долговременному уходу (
)
в определенный период времени зависит от численности работников, занятых
предоставлением таких услуг (
)
и рабочего времени, в течение которого данные услуги предоставляются (
),
и может быть описан функцией следующего вида:
где
–
совокупное предложение услуг по долговременному уходу в период времени t;
–
численность работников, занятых предоставлением услуг по долговременному
уходу;
–
рабочее время i-го работника;
–
среднее рабочее время работников, занятых предоставлением услуг по
долговременному уходу; 1…N
– индексы суммирования.
Аналогично выражению (2) функцию совокупного предложения услуг по долговременному уходу можно представить как сумму текущего совокупного предложения и совокупного предложения, необходимого для удовлетворения ожидаемого спроса на услуги по долговременному уходу:
где
–
текущее предложение услуг по долговременному уходу;
-
предложение, необходимое для удовлетворения ожидаемого спроса на услуги по
долговременному уходу.
При этом предложение, необходимое для удовлетворения ожидаемого спроса на услуги по долговременному уходу может быть определено из следующего выражения:
где
–
дополнительная численность работников, занятых предоставлением услуг по
долговременному уходу, необходимая для удовлетворения ожидаемого спроса на
данные услуги.
Из уравнений (2) и (5) нас будут интересовать дополнительные объемы спроса и предложения услуг по долговременному уходу. Приравнивая правые части уравнений (3) и (5), путем последовательных преобразований можно вывести уравнение для определения дополнительной численности работников, занятых предоставлением услуг по долговременному уходу, необходимой для удовлетворения ожидаемого спроса на данные услуги:
Несложно показать, что
есть
нечто иное, как показатель ожидаемой производительности труда работников,
занятых предоставлением услуг по долговременному уходу. Обозначим данное
отношение как
и
тогда уравнение (7) примет следующий вид:
Таким образом, дополнительная численность работников, занятых предоставлением услуг по долговременному уходу, необходимая для удовлетворения ожидаемого спроса на данные услуги, будет зависеть от численности граждан, признанных нуждающимися в предоставлении услуг по долговременному уходу, а также от ожидаемой производительности труда работников, занятых предоставлением данных услуг.
Говоря об ожидаемом количестве часов, необходимых для предоставления услуг по уходу следует отметить, что данное время включает в себя как единовременные затраты времени, связанные с признанием гражданина нуждающимся в предоставлении услуг по долговременному уходу, так и регулярные затраты времени, связанные с процессом непосредственного предоставления социальных услуг по уходу в рамках СДУ и его организацией. Поскольку процессы признания граждан нуждающимися в долговременном уходе, организации предоставления и предоставления социальных услуг по уходу в рамках СДУ разделены между различными группами работников, то дополнительная численность работников, занятых предоставлением услуг по долговременному уходу, необходимая для удовлетворения ожидаемого спроса на данные услуги будет включать в себя дополнительную численность данных групп работников, а формула (8) преобразуется в следующую формулу:
Следует отметить, что предоставление
социальных услуг по уходу требует два вида труда: труд помощников по уходу и
труд организаторов ухода. Поэтому время предоставления социальных услуг по
уходу в рамках СДУ (
)
будет складываться из времени предоставления услуг по уходу помощниками по
уходу и времени, затрачиваемого организаторами ухода, ввиду чего формула (5)
преобразуется в следующее выражение:
где
–
затраты времени на предоставление социальных услуг по уходу помощниками по
уходу;
–
затраты времени, связанные с предоставлением социальных услуг по уходу
организаторами ухода;
остальные обозначения те же.
Представив затраты времени, связанные с
предоставлением социальных услуг по уходу организаторами ухода (
),
как долю от затрат времени на предоставление социальных услуг по уходу
помощниками по уходу в окончательном виде формула (6) может быть представлена
следующим образом:
Следует отметить, что затраты времени на
предоставление социальных услуг по уходу в рамках СДУ как помощниками по уходу,
так и организаторами ухода зависят от уровня нуждаемости граждан, получающих
такие услуги, в уходе. Чем выше уровень нуждаемости, тем соответственно больше
затраты времени, необходимые для предоставления социальных услуг по уходу. Поскольку
является
по сути постоянной величиной [8],
то зависимость между
и
можно
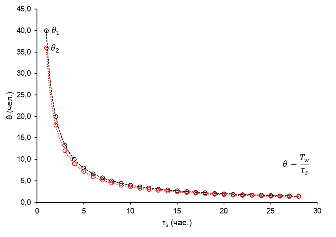
представить графиками, изображенными на рисунке 4.
Источник: расчеты авт. на основании данных о продолжительности
рабочего времени
) и затратах
времени, связанных с предоставлением социальных услуг (
). Данные о затратах
времени, связанных с предоставлением социальных услуг условные.
Рисунок 4 – Зависимость между
и
q
В методическом плане определенную сложность представляет учет труда граждан, осуществляющих родственный уход в связи с тем, что среди помощников по уходу до трети составляют такие граждане.
Как показывает анализ результатов реализации пилотного проекта по созданию СДУ родственники, как правило, устраиваются в организации социального обслуживания для ухода за своим родственником, получающим услуги по долговременному уходу в рамках СДУ.
Таким образом, норма нагрузки определяется из расчета 1 помощник по уходу из числа граждан, осуществлявших родственный уход, на 1 гражданина, получающего социальные услуги по уходу в рамках СДУ.
С учетом вышеизложенного численность помощников по уходу из числа граждан, осуществляющих родственный уход за гражданами, получающими социальные услуги по уходу в рамках СДУ, будет определяться по следующей формуле:
где
–
доля граждан, осуществляющих родственный уход за гражданами,
получающими социальные услуги по уходу в рамках СДУ;
–
производительность труда помощника по уходу;
–
прогнозная численность граждан, получающих услуги по долговременному уходу.
Как было отмечено выше увеличение охвата граждан, нуждающихся в получении услуг по долговременному уходу, затронет не только непосредственно систему долговременного ухода, но и социальное обслуживание на дому, где социальные услуги предоставляются в соответствии с Федеральным законом №442-ФЗ. Следовательно, прогноз потребности в кадрах с учетом внедрения системы долговременного ухода должен учитывать влияние увеличения охвата граждан, нуждающихся в услугах по долговременному уходу, на подсистему социального обслуживания – социальное обслуживание на дому.
Действующие нормативно-методические документы предполагают достаточно гибкий подход к определению нормы нагрузки на одного социального работника, учитывающий комплекс таких факторов, как транспортная доступность, благоустроенность места проживания получателя социальных услуг и пр. [9]
При этом нагрузка на одного социального работника может существенно варьироваться между субъектами Российской Федерации (см. рисунок 5, 6).
Источник: расчеты авт. на основании данных формы N 1-соцобслуживание за 2024 год [10]
Рисунок 5 – Распределение субъектов Российской Федерации по средней нагрузке на 1 работника из числа основного персонала организации социального обслуживания
Источник: расчеты авт. на основании данных формы N 1-соцобслуживание за 2024 год
Рисунок 6 – Распределение субъектов Российской Федерации по средней нагрузке на 1 социального работника
Выборочные исследования, проводившиеся ФГБУ «ВНИИ труда» Минтруда России показывают, что в основном фактическая нагрузка на одного социального работника соответствует нормативным значениям, рассчитанным в соответствии с приказом Министерства труда и социальной защиты РФ от 15 октября 2015 г. N 725 «Об утверждении Методических рекомендаций по определению норм нагрузки социального работника в сфере социального обслуживания», что позволяет использовать представленные на рисунках значения в качестве норм нагрузки для прогнозирования потребности в кадрах в связи с развитием системы долговременного ухода.
2. Апробация методического подхода и расчет потребности сферы социального обслуживания в кадрах с учетом внедрения системы долговременного ухода
Поскольку объем услуг по долговременному уходу до 2030 года задан экзогенно, то для расчета прогнозной численности помощников по уходу необходимо располагать данными о производительности труда помощников по уходу.
Для определения производительности труда помощников по уходу необходимо располагать данными о распределении граждан, признанных нуждающимися в получении услуг по долговременному уходу по объему предоставляемых социальных услуг по уходу.
Следует отметить, что на сегодняшний день отсутствует доступные статистические данные, показывающие такое распределение. Имеются лишь сведения о распределении граждан, получающих услуги по долговременному уходу по уровням нуждаемости в уходе.
В свою очередь уровень нуждаемости в уходе связан с объемом предоставляемых социальных услуг по уходу в рамках СДУ. Так, объем социальных услуг по уходу для первого уровня нуждаемости составляет 14 часов в неделю, для второго уровня нуждаемости – до 21 часа в неделю, а для 3 уровня нуждаемости – до 28 часов в неделю [11].
Можно предположить, что внутри каждого уровня распределение граждан, признанных нуждающимися в получении услуг по долговременному уходу, подчиняется закону равномерного распределения, т.е. вероятность того, что в рамках первого уровня нуждаемости гражданину будут предоставлены социальные услуги по уходу в объеме 3 часов в неделю такая же, как если гражданину будут предоставлены услуги в объеме 10 часов в неделю.
Внутри каждого уровня нуждаемости был определен шаг значений объема предоставляемых социальных услуг по уходу, а также доля граждан, получающих такие услуги в соответствии с законом равномерного распределения.
Из численности граждан, получающих услуги по долговременному уходу, а также из численности помощников по уходу была исключена численность помощников по уходу из числа граждан, осуществляющих родственный уход за гражданами, получающими социальные услуги в рамках СДУ.
Согласно ранее проведенным расчетам ФГБУ «ВНИИ труда» Минтруда России с учетом сложившейся структуры граждан, получающих социальные услуги по уходу в рамках СДУ, нормативная нагрузка на одного помощника по уходу должна составлять 3,1 чел. из числа граждан, получающих социальные услуги по уходу в рамках СДУ, а на одного организатора ухода – 81,6 чел. из числа граждан, получающих социальные услуги по уходу в рамках СДУ [12].
Результаты расчетов прогнозной потребности сферы социального обслуживания в кадрах с учетом внедрения долговременного ухода представлены на рисунке 7.
Источник: расчеты авт. на основании методических подходов, изложенных в разделе 1.
Рисунок 7 – Динамика и структура прогнозной потребности сферы социального обслуживания в кадрах с учетом внедрения долговременного ухода
Таким образом, исходя из проведенных расчетов, сделанных на основании предложенного методического подхода, в сферу социального обслуживания к 2030 году потребуется дополнительно привлечь 184 286 чел., а с учетом того, что доля родственников, осуществляющих уход на условиях найма сохраниться на уровне 30%, то дополнительная потребность в помощниках по уходу, организаторах ухода, а также работников, предоставляющих социальные услуги, не входящие в социальный пакет долговременного ухода, составит 86 272 чел [12].
О масштабности задачи по увеличению охвата услугами по долговременному уходу применительно к кадровому обеспечению ее реализации свидетельствует то, что в 2024 году общая численность основного персонала, предоставляющего социальные услуги на дому составила 158 648 чел.
Заключение
В рамках исследования, результаты которого представлены в данной статье, сделан погодовой прогноз численности граждан, получающих социальные услуги в рамках системы долговременного ухода.
Предложенный методический подход к прогнозированию потребности системы социального обслуживания в персонале в связи с внедрением долговременного ухода основан на построении факторной модели, учитывающей спрос и предложение услуг по долговременному уходу исходя из прогнозной нуждаемости граждан в таких услугах, профессиональную структуру системы долговременного ухода.
Предложенная модель учитывает также участие родственников в уходе за гражданами, признанными нуждающимися в долговременном уходе, на основании найма.
Модель также учитывает, что граждане, получающие социальные услуги по уходу в рамках СДУ могут получать социальные услуги, не предусмотренные социальным пакетом долговременного ухода, что требует прогноза численности работников, предоставляющих социальные услуги на дому.
Представлены результаты апробации методического подхода к прогнозированию потребности системы социального обслуживания в персонале в связи с внедрением долговременного ухода. Расчеты показали, что дополнительная потребность к 2030 году составит 86 272 чел.
Развитие предложенного методического подхода автор видит в расширении модели за счет учета региональных особенностей развития системы долговременного ухода.
[1] Указ Президента Российской Федерации от 7 мая 2024 г. N 309 «О национальных целях развития Российской Федерации на период до 2030 года и на перспективу до 2036 года»
[2] Приказ Министерства труда и социальной защиты РФ от 27 декабря 2023 г. N 895 «О реализации в Российской Федерации в 2024 году Типовой модели системы долговременного ухода за гражданами пожилого возраста и инвалидами, нуждающимися в уходе»
[3] Согласно данным ведомственной статистики Минтруда России
[4] Согласно данным ведомственной статистики Минтруда России
[5] См.: Приказ Министерства труда и социальной защиты Российской Федерации от 27 декабря 2024 г. N 732 «О реализации в Российской Федерации в 2025 году Типовой модели системы долговременного ухода за гражданами пожилого возраста и инвалидами, нуждающимися в уходе»
[6] Среднегодовой темп роста определен
по следующей формуле:
[7] Ценовой фактор в функциях совокупного спроса и совокупного предложения не учитывается, т.к. финансирование осуществляется централизованно за счет средств федерального бюджета
[8] В соответствии с трудовым
законодательством нормальная продолжительность рабочей недели составляет 40
часов. Вместе с тем, для женщин, работающих в сельской местности, в
соответствии с законодательством Российской Федерации, установлена сокращенная
36-часовая продолжительность рабочей недели. На графике изображены две функции
(
и
), соответствующие
и
[9] См.: Приказ Министерства труда и социальной защиты РФ от 15 октября 2015 г. N 725 «Об утверждении Методических рекомендаций по определению норм нагрузки социального работника в сфере социального обслуживания»
[10] Согласно данным официальной статистики в Оренбургской области социальные услуги оказываются работниками, отнесенными к иным должностям основного персонала организаций социального обслуживания
[11] Приказ Министерства труда и социальной защиты РФ от 27 декабря 2023 г. N 895 «О реализации в Российской Федерации в 2024 году Типовой модели системы долговременного ухода за гражданами пожилого возраста и инвалидами, нуждающимися в уходе»
[12] Следует отметить, что конкретная численность будет зависеть от множества факторов, включая погодовые планы по численности получателей социальных услуг в рамках системы долговременного ухода, доли родственников, осуществляющих уход на условиях найма, объема социальных услуг, не входящих в социальный пакет долговременного ухода.
Источники:
2. Горбунова В.В., Дуракова А.С., Коняев В.М., Полянская Т.А., Эреджепова Р.К. Проблемы и особенности финансирования учреждений социального обслуживания // Фундаментальные исследования. – 2023. – № 12. – c. 20-24. – doi: 10.17513/fr.43527.
3. Корчагина И.И., Прокофьева Л.М. Оценки нуждаемости в долговременном уходе: опыт Франции и России // Народонаселение. – 2020. – № 3. – c. 59-70. – doi: 10.19181/population.2020.23.3.6..
4. Мусин Э.Р. Прогнозирование численности граждан, имеющих право на долговременный уход // Экономика труда. – 2024. – № 12. – c. 2141-2160. – doi: 10.18334/et.11.12.122165.
5. Петрова С.А., Алексенцева Ю.А., Ясинская И.А., Володько А.К. Проблемы формирования кадрового потенциала организаций социальной сферы // Экономика труда. – 2021. – № 8. – c. 823-840. – doi: 10.18334/et.8.8.112725.
6. Сафонов А.Л., Некипелова Д.В. Развитие системы долговременного ухода: демографические факторы и социально-экономические предпосылки // Социально-трудовые исследования. – 2024. – № 2(55). – c. 112-126. – doi: 10.34022/2658-3712-2024-55-2-112-126.
7. Сафонов А.Л., Шеожев Х.В., Вешкурова А.Б. Сравнительный анализ моделей государственного финансирования услуг по долгосрочному уходу // Экономика труда. – 2024. – № 7. – c. 1143-1158. – doi: 10.18334/et.11.7.121281.
8. Синявская О.В., Горват Е.С. Организация постороннего ухода за пожилыми и инвалидами: мотивация обращения к различным поставщикам // Демографическое обозрение. – 2021. – № 4. – c. 60-80. – doi: 10.17323/demreview.v8i4.13876.
9. Селезнева Е.В., Синявская О.В. и др. Система долговременного ухода: уроки международного опыта для России. / Доклад к XXIII Ясинской (Апрельской) междунар. науч. конф. по проблемам развития экономики и общества. - М.: Изд. дом Высшей школы экономики, 2022. – 156 c.
10. Смирнов В.М., Шестаков М.А. Эффективность внедрения нормативов штатной численности основного персонала в организациях социального обслуживания // Экономика труда. – 2022. – № 12. – c. 2129-2144. – doi: 10.18334/et.9.12.116905.
11. Тырсин А.Н., Васильева Е.В. Моделирование взаимосвязи факторов формирования спроса на рабочую силу и ее предложени // Экономические и социальные перемены: факты, тенденции, прогноз. – 2021. – № 2. – c. 145-155. – doi: 10.15838/esc.2021.2.74.9.
12. Шестаков М.А., Смирнов В.М. Планирование расходов на оказание социальных услуг по уходу в рамках системы долговременного ухода // Экономика: вчера, сегодня, завтра. – 2023. – № 8-1. – c. 338-348. – doi: 10.34670/AR.2023.60.61.031.
13. Шестаков М.А. Спрос на социальные услуги: оценка, анализ и прогнозирование // Экономика, предпринимательство и право. – 2023. – № 12. – c. 6035-6058. – doi: 10.18334/epp.13.12.120217.
14. Elziniy D., Oraby D. Long-term care: Global efforts and international attention from the health perspective. Geneva, International Social Security Association. - 2021
15. Gonzalez-Aquines A., Singh S., Krol-Jankowska A.G., Koziel A. Defining Long Term Care in European Union Countries: A Review of Policy Documents // Journal of Long-Term Care.. – 2024. – p. 414-423. – doi: 10.31389/jltc.333.
16. Kotschy R., Bloom D.E. A Comparative Perspective on Long Term Care Systems // International Social Security Review. – 2022. – № 3-4. – p. 47-68. – doi: 10.1111/issr.12307.
17. Tessier L., De Wulf N., Momose Y. Long-term care in the context of population ageing: a rights-based approach to universal coverage. International Labour Office. [Электронный ресурс]. URL: https://www.issa.int/sites/default/files/documents/2022-10/wp82_web.pdf.
Страница обновлена: 24.05.2026 в 15:41:25
Download PDF | Downloads: 11
Forecasting the human resources needs of the social service sector, taking into account the introduction of long-term care
Shestakov M.A.Journal paper
Creative Economy
Volume 19, Number 12 (december 2025)
Abstract:
President of the Russian Federation Vladimir Putin has set a goal by 2030 to increase the number of elderly and disabled citizens receiving long-term care services to at least 500,000 people from among those most in need of such services.
A significant increase in the number of citizens receiving social services due to the introduction of a long-term care system acutely poses the problem of staffing the social service system, since the introduction of a long-term care system also affects traditional forms of social service provision.
As part of the research, a methodological approach to planning the number of employees in the social care system has been developed and partially tested, taking into account the prospects for the development of supply and demand for long-term care services and other types of social services.
The article is of interest both to researchers dealing with the problems of developing a long-term care system and to government officials responsible for implementing a pilot project to create a long-term care system in the Russian Federation.
Keywords: social services, long-term care, population forecast, social services, neediness, demand, supply
JEL-classification: H55, H75, I38, H59
References:
Borodin S.N. (2024). The methodology of forecasting the personnel and competence deficit in the regional labor market as a way to assess the prospects for its development. Russian Journal of Labour Economics. 11 (1). 39-60. doi: 10.18334/et.11.1.120256.
Elziniy D., Oraby D. Long-term care: Global efforts and international attention from the health perspective. Geneva, International Social Security Association. - 2021
Gonzalez-Aquines A., Singh S., Krol-Jankowska A.G., Koziel A. (2024). Defining Long Term Care in European Union Countries: A Review of Policy Documents Journal of Long-Term Care.. 414-423. doi: 10.31389/jltc.333.
Gorbunova V.V., Durakova A.S., Konyaev V.M., Polyanskaya T.A., Eredzhepova R.K. (2023). PROBLEMS AND PECULIARITIES OF FINANCING SOCIAL SERVICE INSTITUTIONS. Fundamentalnye issledovaniya. (12). 20-24. doi: 10.17513/fr.43527.
Korchagina I.I., Prokofeva L.M. (2020). LONG-TERM CARE NEEDS ASSESSMENTS: FRENCH AND RUSSIAN EXPERIENCE. Narodonaselenie. 23 (3). 59-70. doi: 10.19181/population.2020.23.3.6..
Kotschy R., Bloom D.E. (2022). A Comparative Perspective on Long Term Care Systems International Social Security Review. 75 (3-4). 47-68. doi: 10.1111/issr.12307.
Musin E.R. (2024). Forecasting the number of citizens eligible for long-term care. Russian Journal of Labour Economics. 11 (12). 2141-2160. doi: 10.18334/et.11.12.122165.
Petrova S.A., Aleksentseva Yu.A., Yasinskaya I.A., Volodko A.K. (2021). Problems of the personnel potential in social organizations. Russian Journal of Labour Economics. 8 (8). 823-840. doi: 10.18334/et.8.8.112725.
Safonov A.L., Nekipelova D.V. (2024). LONG-TERM CARE DEVELOPMENT: DEMOGRAPHIC FACTORS AND SOCIO-ECONOMIC PREREQUISITES. Sotsialno-trudovye issledovaniya. (2(55)). 112-126. doi: 10.34022/2658-3712-2024-55-2-112-126.
Safonov A.L., Sheozhev Kh.V., Veshkurova A.B. (2024). Comparative analysis of public funding models for long-term care services. Russian Journal of Labour Economics. 11 (7). 1143-1158. doi: 10.18334/et.11.7.121281.
Selezneva E.V., Sinyavskaya O.V. i dr. (2022). Long-term care system: lessons from international experience for Russia M.: Izd. dom Vysshey shkoly ekonomiki.
Shestakov M.A. (2023). Demand for social services: assessment, analysis, and forecasting. Journal of Economics, Entrepreneurship and Law. 13 (12). 6035-6058. doi: 10.18334/epp.13.12.120217.
Shestakov M.A., Smirnov V.M. (2023). Planning of the cost of providing social care services within the long-term care system. Economics: Yesterday, Today and Tomorrow. 13 (8-1). 338-348. doi: 10.34670/AR.2023.60.61.031.
Sinyavskaya O.V., Gorvat E.S. (2021). LONG-TERM CARE FOR THE ELDERLY AND DISABLED PEOPLE: MOTIVATIONS FOR TURNING TO VARIOUS CARE PROVIDERS. Demograficheskoe obozrenie. 8 (4). 60-80. doi: 10.17323/demreview.v8i4.13876.
Smirnov V.M., Shestakov M.A. (2022). Effectiveness of staff standards for substantive staff in social service organisations. Russian Journal of Labour Economics. 9 (12). 2129-2144. doi: 10.18334/et.9.12.116905.
Tessier L., De Wulf N., Momose Y. Long-term care in the context of population ageing: a rights-based approach to universal coverageInternational Labour Office. Retrieved from https://www.issa.int/sites/default/files/documents/2022-10/wp82_web.pdf
Tyrsin A.N., Vasileva E.V. (2021). MODELING THE INTERRELATION BETWEEN FORMATION FACTORS OF LABOR DEMAND AND ITS SUPPLY. Economic and Social Changes: Facts, Trends, Forecast. 14 (2). 145-155. doi: 10.15838/esc.2021.2.74.9.
