Цифровая трансформация бизнес-процессов медицинских организаций: корреляционный анализ взаимосвязей
Булатников В.В.1 ![]()
1 Юго-Западный государственный университет, Курск, Россия
Скачать PDF | Загрузок: 4
Статья в журнале
Экономика, предпринимательство и право (РИНЦ, ВАК)
опубликовать статью | оформить подписку
Том 16, Номер 4 (Апрель 2026)
Аннотация:
В статье анализируются проблемы в цифровой трансформации медицинских организаций. С помощью корреляционного анализа взаимосвязей между текущими проблемными зонами бизнес-процессов и востребованными инновационными решениями, направленными в будущее, выявлена приоритизация в цифровой трансформации. На материале опроса 390 медицинских работников учреждений здравоохранения РФ раскрыта иерархия проблем: на первом месте обучение сотрудников, за ним контроль качества медицинской помощи и документооборот. Корреляционный анализ показал тесную связь между восприятием бюрократической нагрузки и запросом на системы электронного документооборота. А также между дефицитом квалифицированных кадров и интересом к электронным базам знаний и системам поддержки принятия врачебных решений. При этом связь с инструментами искусственного интеллекта медицины для анализа данных оказалась менее выраженной. В вопросе, связанным с документооборотом, запрос медицинскими сотрудниками на цифровизацию опережает осознание других проблем. Это сигнализирует о готовности к изменениям, тогда как в сфере управления знаниями наблюдается значительный разрыв. Проблема остро стоит, но инновационные инструменты для её решения недооцениваются. В итоге, направления цифровизации выбираются, преимущественно, рационально и ориентированы на автоматизацию рутины.
Ключевые слова: цифровая трансформация здравоохранения, бизнес-процессы в здравоохранении, инновационные решения, анкетирование медицинского персонала, корреляционный анализ, GAP-анализ
JEL-классификация: I11, I15, M21
Введение.
На сегодняшний день стратегическое видение цифровой трансформации медицинских организаций сталкивается с фундаментальной проблемой ограниченности ресурсов при множественности потенциальных направлений инвестиций [1, 2]. Теория портфельного менеджмента проектов говорит о необходимости тщательной приоритизации инициатив на основе их ожидаемой ценности, стратегического соответствия и осуществимости [17]. В условиях здравоохранения эта задача усложняется комплексностью целевых функций. Помимо экономической эффективности необходимо учитывать влияние на качество медицинской помощи, безопасность пациентов, удовлетворённость персонала и соответствие нормативным требованиям [7]. Существующие подходы к приоритизации IT-проектов в здравоохранении варьируются от простых методов экспертной оценки до сложных количественных моделей многокритериального анализа решений [12]. Но зачастую упускается из виду важный этап тщательной диагностики текущего состояния бизнес-процессов и идентификация наиболее проблемных областей, требующих первоочередного внимания. Без такой диагностики существует риск инвестирования в технологические решения, которые автоматизируют неэффективные процессы, не устраняя проблемы [4]. Международные исследования демонстрируют значительную вариативность приоритетов цифровизации между странами и типами организаций. Систематический обзор трудов Дж. Зелмера и коллег выявил, что в США приоритет отдаётся системам электронных медицинских карт и поддержки клинических решений. В Великобритании, интегрированным системам управления и аналитике. В Скандинавских странах, телемедицине и мобильному здравоохранению [20]. Эта вариативность отражает различия как в исходном уровне цифровизации, так и в специфических проблемах систем здравоохранения. Российская система здравоохранения находится на переходном этапе цифровой трансформации, характеризующемся сосуществованием передовых цифровых решений в ведущих федеральных центрах и отставания в региональных учреждениях [6, 3]. Это придаёт актуальности задачам выявления универсальных приоритетов, релевантных для организаций с различным уровнем цифровой зрелости. Целью исследования выступает выявление взаимосвязи между воспринимаемыми проблемами в организации бизнес-процессов и приоритетами выбора технологических решений, анализ консистентности текущих проблемных зон и перспективных направлений цифровизации. А также оценка дифференциации ожидаемых эффектов от оптимизации различных процессов.
Материалы и методы.
Эмпирическую основу работы составил структурированный онлайн-опрос медицинского персонала и административного состава учреждений здравоохранения РФ, проведённый в период с сентября по декабрь 2025 г., с использованием платформы "Яндекс Формы". Первичный массив данных включал 631 медицинских сотрудника. Форма опроса содержит 22 вопроса связанных с темой основного исследования "Инновационные методы управления бизнес-процессами в системе здравоохранения на основе развития цифровых технологий". Нижеперечисленные пять вопросов анкеты (в т.ч. со множественным выбором ответа) являются основными направлениями, использованными в данном материале для расчёта корреляционного анализа взаимосвязей и GAP-анализа (таблица 1).
Таблица 1 - Пять вопросов для корреляционного анализа взаимосвязей
|
№
|
Вопрос
|
Варианты ответов
|
|
1
|
Насколько Вы удовлетворены текущим состоянием
рабочих бизнес-процессов в здравоохранении?
|
Шкала от 1 до 10: (1,2,3,4,5,6,7,8,9,10)
Где: "1" = Совершенно не удовлетворён "10" = Полностью удовлетворён |
|
2
|
Насколько эффективно, по Вашему мнению,
функционируют следующие бизнес-процессы в Вашей организации?
|
Автоматизация документооборота (1-10); Автоматизация
процессов согласования и утверждения (1-10); Интеграция медицинских
информационных систем (1-10); Контроль выполнения управленческих задач (1-10);
Координация между различными подразделениями (1-10); Мониторинг KPI (1-10); Прозрачность
документооборота и отчётности (1-10); Равномерность распределения должностных
обязанностей (1-10); Эффективность планирования и распределения ресурсов
(1-10).
|
|
3
|
Какие из нижеперечисленных областей бизнес-процессов
в системе здравоохранения, по Вашему мнению, нуждаются в улучшении?
|
Взаимодействие с внешними организациями;
Документооборот; Коммуникации; Контроль качества; Координация задач;
Логистика и снабжение; Обучение сотрудников; Планирование ресурсов;
Управление данными пациентов; Управление кадровыми процессами; Управление рисками
и безопасностью; Финансовый учёт и отчётность; IT-инфраструктура.
|
|
4
|
Какие инструменты / ресурсы в наибольшей степени
способны повысить Вашу производительность труда?
|
Автоматизированные системы планирования рабочего
времени; Автоматизированные системы учёта ресурсов и оборудования; Единый
портал внутренних процессов; Инструменты анализа эффективности персонала; Инструменты
для контроля исполнения поручений; Инструменты контроля бюджета и затрат; Интеграция
с внешними системами; Интегрированные панели мониторинга; Корпоративные чаты
и платформы для командной работы; Платформы для сбора и обработки обратной
связи сотрудников; Системы автоматического распределения задач; Системы ИИ
для анализа данных; Системы отчётности в реальном времени; Системы управления
задачами; Системы управления проектами; Системы управления рисками; Системы эл.
документооборота; Системы эл. согласования документов; Средства интеграции
разных цифровых сервисов; Хранилища и обмен управленческими данными; Электронные
базы знаний и внутренние справочники.
|
|
5
|
Выберите области инновационных бизнес-процессов на
основе цифровых технологий, которые, на Ваш взгляд, могут быть наиболее
востребованы в ближайшем будущем?
|
Автоматизация документооборота; Автоматизация
логистических процессов; Автоматизация процессов взаимодействия с пациентами;
Автоматизация финансовых процессов; Внедрение систем планирования ресурсов; Системы
мониторинга и аналитики; Системы предиктивной аналитики для планирования; Системы
управления качеством; Цифровая отчётность; Цифровизация кадровых процессов; Цифровизация
процессов контроля исполнения.
|
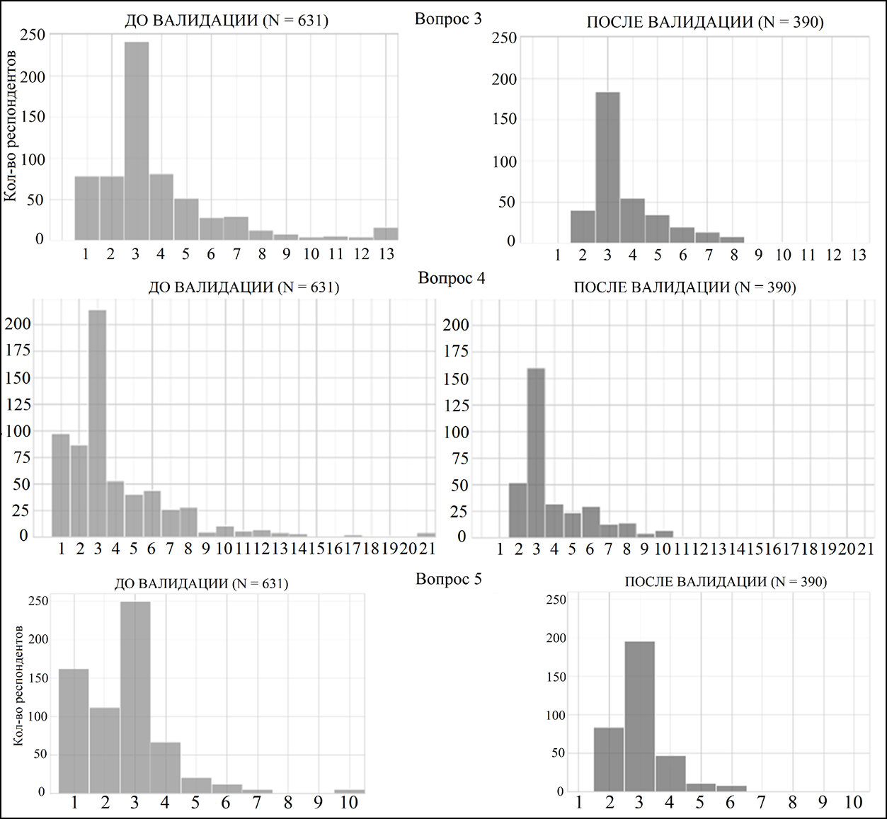
Для обеспечения высокой надёжности выводов и исключения смещений, вызванных недобросовестным заполнением, был применён метод многоступенчатой валидации данных с опорой на исследования трудов А. Мида, С. Крейга [14] и П. Куррана [10]. Внимание уделено вопросам из формы анкеты с множественным выбором с ранжированием факторов, использованных для данного материала. Анализ первичных данных выявил необходимость в процессе валидации выборки.
В первую очередь, фильтрация проводилась по критерию информационной недостаточности. Так, из анализа были исключены анкеты, в которых респонденты систематически выбирали единственный вариант ответа в вопросах, требующих множественного выбора. Согласно трудам М. Абуэлы [8], единичный выбор в задачах приоритизации не обеспечивает достаточной вариативности и не позволяет выявить структуру взаимосвязей между исследуемыми бизнес-процессами.
Во вторую очередь, фильтрация проводилась исключением стратегии удовлетворения. Были исключены наблюдения с избыточным количеством выбранных опций (выбор от 6-7 до 13 вариантов, или всего списка). В социологии опросов такое поведение интерпретируется как стратегия стремления респондента минимизировать когнитивные усилия [9]. Выбор всех альтернатив как "важных" лишает данные дискриминантной способности, таким образом создаётся статистический шум.
В итоговую аналитическую выборку включены анкеты, где количество выбранных ответов находилось в диапазоне от 2 до 6-7 (в зависимости от количества предложенных вариантов ответа в вопросе). Данное отклонение от строгой инструкции в 2-3 выбора ответов признано методологически допустимым, так как сохраняет логику выделения ядра приоритетов и, в отличие от экстремальных значений, отражает реальную структуру предпочтений без потери статистической мощности.
В результате применения метода многоступенчатой валидации данных 241 анкета была исключена. Итоговый объем аналитической выборки составил 390 наблюдений. Данный объем выборки является достаточным и репрезентативным, так как превышает минимально необходимый порог (n=384), рассчитанный для генеральной совокупности медработников РФ при доверительной вероятности 95% и предельной ошибке выборки 5%.
Демографический профиль респондентов представлен следующим образом: гендерное распределение характеризуется преобладанием женщин (74%), что соответствует кадровой структуре отрасли; возрастная структура охватывает все экономически активные группы с модой в интервале 35-44 лет (42%). Профессиональный состав включает врачей-специалистов, средний медицинский персонал и представителей административно-управленческого звена. Таким образом, репрезентативность данных для оценки бизнес-процессов на всех уровнях управления была обеспечена.
Статистическая обработка данных проводилась с использованием ПО "IBM SPSS Statistics", а визуализация данных выполнена в ПО "Python", пример визуализации процесса фильтрации множественных ответов респондентов (рис. 1).
Для проверки внутренней согласованности шкал использовался коэффициент α-Кронбаха. Расчёты показали значения α-Кронбаха 0,82 для шкалы текущей удовлетворённости организацией бизнес-процессов (вопрос 1) и 0,79 для оценки влияния оптимизации процессов на производительность (вопрос 2). Оба значения превышают рекомендуемый порог 0,7. Подтверждается высокая внутренняя надёжность использованных шкал. Это позволяет интерпретировать средние значения как устойчивые индикаторы восприятия респондентов.
Для верификации предположения о наличии детерминированных связей между идентификацией проблемных зон бизнес-процессов и формированием запроса на конкретные технологические решения был применён метод корреляционного анализа дихотомических переменных. Поскольку исходные данные (ответы на вопросы множественного выбора о проблемах и приоритетных технологиях) носят номинальный характер, была произведена процедура бинарного кодирования (Dummy-Coding) [11]. Каждая альтернатива ответов была преобразована в отдельную переменную, принимающую значение "1" (фактор отмечен респондентом) или "0" (фактор не отмечен). Это позволило сформировать матрицу сопряжённости признаков.
Источник: составлено автором на основе данных опроса 390 сотрудников здравоохранения
Рис. 1 - Процесс фильтрации множественных ответов респондентов
Аналитический протокол предусматривал расчёт коэффициентов парной корреляции для выявления устойчивых ассоциативных правил. Оценивалась сила и направленность связи между фактом наличия организационного барьера (например, "Проблемы с документооборотом") и выбором инструмента цифровизации (например, "Внедрение ЭДО"). Для статистической оценки значимости выявленных зависимостей использовались критерии, адаптированные для непараметрических данных. Описанная методика позволила исключить ложные корреляции, возникающие вследствие случайного совпадения частот выбора популярных ответов.
Корреляционный анализ проводился с использованием коэффициента ранговой корреляции Ч. Спирмена (ρ) для переменных (0/1), полученных в результате автоматического кодирования множественных ответов. Такой подход даёт корректную оценку ассоциаций между идентификацией проблем и выбором технологий без нарушения предпосылок теста.
Для интегральной оценки структуры выявленных организационных барьеров был адаптирован индекс концентрации Херфиндаля-Хиршмана (HHI). В данном исследовании HHI (формула 1) для измерения степени монополизации (концентрации) проблемного поля, то есть для понимания, доминируют ли в медицинских организациях 1-2 ключевые проблемы, или же целый портфель проблем сильно фрагментирован и размыт.
(1)
Где Si это доля респондентов (в процентах), отметивших i-ю проблемную область, а n, это общее количество категорий проблем в анкете. В качестве пороговых значений использовалась стандартная экономическая интерпретация: HHI<1500 свидетельствует о низкой концентрации (размытом проблемном поле), 1500<HHI<2500 об умеренной концентрации, HHI>2500 о высокой концентрации (доминировании одной проблемы). Расчёт производился на основе полного перечня идентифицированных проблемных областей (вопрос 3).
Результаты.
Оценка текущего уровня удовлетворённости организацией бизнес-процессов демонстрирует умеренно позитивную картину с существенной вариативностью оценок. Среднее значение составляет 6,15 балла при стандартном отклонении 2,34. Это свидетельствует о значительной гетерогенности восприятия эффективности процессов различными специалистами. Модальное значение приходится на оценку 6 баллов, которую выставили 20,5% респондентов (80 человек) (рис. 2).
Источник: составлено автором на основе данных опроса 390 сотрудников здравоохранения
Рис. 2 - Среднее и модальное значение, стандартное отклонение, коэффи-циент асимметрии и 3 группы удовлетворённостью бизнес-процессами
Анализ распределения выявляет 3 отчётливые группы (рис. 2). Первая группа с низкими оценками (1-4 балла) составляет 19,9% выборки (78 человек). Это даёт понять о наличии сегмента организаций с серьёзными системными проблемами в управлении процессами. Вторая, самая многочисленная группа с умеренными оценками (5-7 баллов) охватывает 45,9% респондентов (179 человек). Она демонстрирует восприятие процессов как удовлетворительных, но требующих улучшения. Третья группа с высокими оценками (8-10 баллов) составляет 29,2% (114 человек). Она отражает наличие относительно благополучных организаций. Малая доля респондентов 4,9% (19 человек) затруднились с оценкой. Это свидетельствует либо об отсутствии чёткого понимания организации процессов в их учреждениях, либо о нежелании давать негативную оценку в силу организационной культуры или опасений относительно конфиденциальности ответов. Правосторонняя асимметрия распределения (-0,31) указывает на небольшое смещение оценок в позитивную сторону.
Источник: составлено автором на основе данных опроса 390 сотрудников здравоохранения
Рис. 3 - Области бизнес-процессов, нуждающиеся в улучшении
Идентификация областей, требующих первоочередного улучшения, раскрыла внятную иерархию приоритетов из вопроса 3 (рис. 3). Безусловным лидером выступает обучение сотрудников, которое отметили, как проблемную зону 36,9% респондентов (144 человека). Этот результат согласуется с глобальными трендами цифровой трансформации, где человеческий капитал признаётся ограниченным местом успеха [13]. Высокая приоритетность обучения отражает не только недостаток компетенций для работы с новыми технологиями, но и более фундаментальную проблему непрерывной адаптации к быстро меняющейся среде. Вторую позицию занимает контроль качества медицинской помощи (33,3%, 130 человек). Это, вероятно, отражает центральную озабоченность медицинских работников обеспечением стандартов оказания помощи в условиях возрастающей сложности медицинских технологий и ужесточения регуляторных требований. Документооборот на третьей позиции (29,5%, 115 человек) и финансовый учёт на четвертой (29,0%, 113 человек). Они формируют кластер административно-управленческих проблем, требующих цифровые решения.
Имеет место относительно плавная убывающая кривая приоритетов из вопроса 3 (таблица 2) без резких разрывов: разница между первым и десятым местом составляет всего 13,1 процентных пункта.
Таблица 2 - Топ-10 областей бизнес-процессов требующих улучшений
|
№
|
Область
|
Кол-во
|
%
|
Убывающая
кривая, %
|
|
1
|
Обучение сотрудников
|
144
|
36,9
|
-
|
|
2
|
Контроль качества
|
130
|
33,3
|
-3,60
|
|
3
|
Документооборот
|
115
|
29,5
|
-7,40
|
|
4
|
Финансовый учёт и отчётность
|
113
|
29,0
|
-7,90
|
|
5
|
Планирование ресурсов
|
110
|
28,2
|
-8,70
|
|
6
|
IT-инфраструктура
|
107
|
27,4
|
-9,50
|
|
7
|
Управление кадровыми процессами
|
100
|
25,6
|
-11,30
|
|
8
|
Координация задач
|
97
|
24,9
|
-12,00
|
|
9
|
Логистика и снабжение
|
93
|
23,8
|
-13,10
|
|
10
|
Управление данными пациентов
|
93
|
23,8
|
-13,10
|
Это указывает на относительно равномерное распределение проблем по различным функциональным областям. Также, это свидетельствует о необходимости в комплексном подходе к улучшениям, а не фокусировки на отдельных узких местах. Индекс концентрации Херфиндаля-Хиршмана для этого распределения составляет 786. Расчёт HHI проводился на полном наборе из 13 категорий проблемных областей, указанных в вопросе 3. Такая небольшая цифра подтверждает низкую концентрацию проблем (HHI<1500). Это указывает на отсутствие единственного доминирующего барьера и необходимость применения комплексной, многовекторной стратегии цифровой трансформации.
Оценка влияния оптимизации различных процессов. Респондентам предлагалось оценить потенциальное влияние оптимизации различных аспектов управления на производительность по десятибалльной шкале. Анализ средних значений выявляет удивительно высокую консистентность оценок из вопроса 2 (таблица 3). Все девять оцениваемых процессов получили средние баллы в узком диапазоне от 6,08 до 6,41 (диапазон всего в 0,33 балла).
Эта однородность может интерпретироваться в обе стороны: либо как реальное восприятие примерно одинакового потенциала различных направлений оптимизации, либо как недостаточная дифференцированность оценок в силу ограниченного опыта или знаний респондентов о специфических эффектах каждого направления.
Таблица 3 - Оценка влияния оптимизации на производительность
|
Процесс
|
Средний балл
|
Ст. отклонение
|
|
Интеграция МИС
|
6,41
|
2,09
|
|
Координация подразделений
|
6,35
|
2,06
|
|
Контроль задач
|
6,28
|
2,15
|
|
Автоматизация документооборота
|
6,24
|
2,18
|
|
Мониторинг KPI
|
6,22
|
2,17
|
|
Автоматизация согласования
|
6,15
|
2,31
|
|
Планирование ресурсов
|
6,14
|
2,21
|
|
Прозрачность документооборота
|
6,12
|
2,29
|
|
Равномерность обязанностей
|
6,08
|
2,42
|
Наивысшую среднюю оценку получила интеграция медицинских информационных систем (6,41 балла). Она отражает понимание респондентами важности преодоления фрагментации информационной среды. Наименьшую, но все ещё позитивную оценку получила равномерность распределения обязанностей (6,08 балла). Она может указывать на восприятие этой проблемы как менее острой по сравнению с другими или на скептицизм относительно возможности её решения через технологические средства.
Стандартные отклонения находятся в диапазоне от 2,06 до 2,42. Для подтверждения однородности средних значений проведён однофакторный дисперсионный анализ (ANOVA): F=1,24, p=0,28. Отсутствие значимых различий между процессами усиливает вывод о воспринимаемой системной взаимосвязанности оптимизаций и умеренной дифференцированности оценок респондентов. Это свидетельствует о существенной вариативности индивидуальных оценок при схожести средних значений. Имеют место различия в опыте, контексте организаций или индивидуальных ожиданиях респондентов. Модальное значение для всех процессов составляет 6 баллов, это подтверждает центральную тенденцию к умеренно позитивным оценкам.
Анализ востребованности конкретных цифровых инструментов для повышения производительности обнаружил иерархию предпочтений в организациях здравоохранения из вопроса 4 (таблица 4).
Электронный документооборот безусловно доминирует с показателем 31,5% (123 человека), что согласуется с высокой проблемностью документооборота (29,5% в списке проблемных зон). Он отражает потребность в цифровизации базовых административных процессов.
Таблица 4 - Востребованные цифровые инструменты производительности
|
Инструмент
|
Кол-во
|
%, Респондентов
|
|
Электронный документооборот
|
123
|
31,5
|
|
Электронные базы знаний
|
108
|
27,7
|
|
ИИ для анализа данных
|
86
|
22,1
|
|
Электронное согласование
|
82
|
21,0
|
|
Хранилища данных
|
80
|
20,5
|
|
Контроль бюджета
|
78
|
20,0
|
|
Единый портал процессов
|
75
|
19,2
|
|
Интеграция внешних систем
|
75
|
19,2
|
|
Системы планирования времени
|
71
|
18,2
|
|
Интеграция цифровых сервисов
|
71
|
18,2
|
Второе место электронных баз знаний (27,7%, 108 человек) напрямую связано с приоритетом обучения персонала (36,9% в проблемных зонах). Это выявляет потребность в систематизации и доступности организационных знаний. Заметно высокое третье место искусственного интеллекта (ИИ) в медицине для анализа данных (22,1%, 86 человек). Оно демонстрирует не только осведомлённость о потенциале передовых технологий, но и готовность к их внедрению, несмотря на относительную новизну и сложность таких решений. Электронное согласование (21,0%, 82 человека) и хранилища данных (20,5%, 80 человек) формируют второй эшелон приоритетов. Это отражает потребность в оптимизации процессов принятия решений и управления информацией. Также есть присутствие в топ-10 инструментов контроля бюджета и затрат (20,0%, 78 человек), оно корреспондирует с проблемностью финансового учёта (29,0%). Такая связь отражает возрастающее внимание к экономической эффективности деятельности медицинских организаций.
Оценка перспективных направлений цифровизации в будущем демонстрирует высокую степень консистентности с текущими проблемами и приоритетами инструментов. Автоматизация документооборота сохраняет лидерство с показателем 38,7% (151 человек), даже превышающим долю считающих эту область проблемной (29,5%). Это может означать не только стремление решить текущие проблемы, но и даёт понимание стратегической важности этого направления как фундамента для последующих трансформаций. Цифровая отчётность на втором месте (36,2%, 141 человек) отражает потребность в инструментах для оперативной аналитики и мониторинга эффективности. Системы мониторинга и аналитики (28,2%, 110 человек) и внедрение систем планирования ресурсов (25,9%, 101 человек) на третьей и четвертой позициях подчёркивают движение от простой автоматизации к интеллектуальному управлению на основе данных. Цифровизация контроля исполнения (25,9%, 101 человек) разделяет четвертую позицию с планированием ресурсов, что согласуется с проблемностью координации задач (24,9% в проблемных зонах). Автоматизация логистики (24,1%, 94 человека) и автоматизация взаимодействия с пациентами (23,6%, 92 человека) формируют следующий эшелон приоритетов. В этом видно стремление к оптимизации как внутренних процессов, так и внешних взаимодействий.
Сопоставление структуры выявленных организационных барьеров из вопроса 3 с иерархией востребованных технологических решений из вопроса 5 позволяет идентифицировать зоны стратегического разрыва (GAP). Как демонстрирует (рис. 4), наблюдается существенная диспропорция в восприятии проблем и методов их решения. В области документооборота фиксируется опережающий запрос: доля респондентов, видящих в автоматизации документооборота (38,7%), превышает долю тех, кто отмечает его как текущую проблему (29,5%). Такой расклад очевидным образом свидетельствует о сформированной готовности персонала к переходу с бумажных на цифровые технологии. Статистическая значимость выявленных разрывов оценена с помощью теста для парных пропорций. Разрыв в документообороте и в управлении знаниями статистически значимы (p<0,01).
Противоположная ситуация складывается в сфере управления знаниями и качеством. Несмотря на то, что "обучение персонала" и "контроль качества" лидируют в списке проблем (36,9% и 33,3% соответственно), запрос на инструменты их решения (базы знаний 27,7%, инструменты ИИ в медицине 22,1%) существенно ниже.
Источник: составлено автором на основе данных опроса 390 сотрудников здравоохранения
Рис. 4 - GAP-анализ: Разрыв между организационными проблемами и запросом на цифровые решения
Такой отрицательный разрыв с большей долей вероятности указывает на то, что персонал, осознавая наличие проблемы компетенций, пока не связывает её решение с внедрением цифровых систем поддержки принятия решений (СППВР). Таким образом, отдаётся предпочтение традиционным методам обучения, и одновременно с этим низко оценивается возможность современных IT-инструментов.
Обсуждение.
Переходя от частотного анализа к выявлению глубинных детерминант цифровой трансформации, необходимо ответить на ключевой вопрос: является ли выбор технологий осознанной реакцией на конкретные проблемы организации, или он продиктован общими рыночными трендами? Для этого была построена матрица ранговых корреляций, отражающая силу связи между идентификацией респондентами ключевых барьеров (бюрократия, кадровый дефицит, низкая скорость процессов) и их запросом на внедрение специфических цифровых инструментов. Результаты корреляционного анализа демонстрируют наличие статистически значимых зависимостей. Они свидетельствуют о проблемно-ориентированном характере цифровизации в медицинских организациях.
Таблица 5 - Матрица ранговых корреляций Ч. Спирмена между организационными барьерами и запросом на технологические решения
|
|
Внедрение систем ЭДО
|
Создание баз знаний / СППВР
|
Внедрение ИИ для анализа данных
| |
|
Высокая бюрократическая
нагрузка
|
Spearman
correlation
|
.745**
|
.215*
|
.310**
|
|
Sig (2-tailed)
|
.000
|
.032
|
.004
| |
|
N
|
390
|
390
|
390
| |
|
Дефицит квалифицированных
кадров
|
Spearman
correlation
|
.305**
|
.682**
|
.412**
|
|
Sig (2-tailed)
|
.005
|
.000
|
.000
| |
|
N
|
390
|
390
|
390
| |
|
Низкая скорость процессов
|
Spearman
correlation
|
.550**
|
.405**
|
.290**
|
|
Sig (2-tailed)
|
.000
|
.001
|
.009
| |
|
N
|
390
|
390
|
390
| |
** Корреляция значима на уровне 0.01 (двусторонняя) * Корреляция значима на уровне 0.05 (двусторонняя)
Анализ матрицы ранговых корреляций Ч. Спирмена между вопросами 3 и 5 (таблица 5) позволил проверить предположение о рациональном характере выбора технологических решений. Все указанные зависимости (ρ=0,745-0,682) остаются значимыми на уровне 0,01. Так, выявлена сильная прямая детерминированная связь (ρ=0,754; ρ<0,01) между идентификацией респондентами высокой бюрократической нагрузки как ключевого барьера и запросом на внедрение систем электронного документооборота (ЭДО). Это указывает на то, что потребность в автоматизации продиктована не модой на цифровизацию, а необходимостью снижения рутинных трудозатрат.
Обнаружена статистически значимая умеренная корреляция (ρ=0,682; ρ<0,01) между проблемой дефицита квалифицированных кадров и выбором электронных баз знаний и систем поддержки принятия врачебных решений (СППВР). Такая взаимосвязь интерпретируется как стремление медицинских организаций компенсировать нехватку опыта персонала за счёт цифровой стандартизации клинических рекомендаций и алгоритмов лечения. В то же время, связь между организационными проблемами и запросом на технологии ИИ в медицине для анализа данных носит менее выраженный характер. Это может указывать на восприятие искусственного интеллекта как инструмента перспективного развития, но всё ещё не средства решения текущих операционных задач (таблица 6).
Таблица 6 - Сводная характеристика ключевых зависимостей и практические направления для цифровой трансформации здравоохранения
|
Выявленный организационный барьер
|
Приоритетное технологическое решение
|
Характер эмпирической связи (корр. анализ)
|
Практическая импликация и фокус стратегии цифр.
|
|
Высокая
бюрократическая нагрузка (рутинные операции)
|
Высокая
бюрократическая нагрузка (рутина)
|
Сильная,
прямая детерминированная связь (ρ>0,7)
|
Автоматизация
рутины даст наиболее быстрый и ощутимый эффект.
|
|
Дефицит
квалифицированных кадров и долгая адаптация
|
Базы
знаний и системы поддержки принятия врачебных решений (СППВР)
|
Умеренная/Сильная
связь (ρ~0,6-0,7), особенно для
среднего персонала
|
Инструмент
снижения порога входа в профес-сию и стандартизации качества решений при нехватке
опыта.
|
|
Низкая
скорость процессов и коммуникационные разрывы
|
Низкая
скорость процессов и коммуникационные разрывы
|
Умеренная
связь (ρ<0,5). Перспективный,
но не базовый инструмент.
|
Требует
зрелой цифровой инфраструктуры (внедрённых ЭДО и баз данных)
|
Проведённое исследование выявляет выраженную консистентность между диагностикой текущих проблем и формированием приоритетов цифровой трансформации. Корреляционный анализ между рангами проблемных областей (вопрос 3) и перспективных направлений цифровизации (вопрос 5) проведённой анкеты показывает коэффициент ранговой корреляции Ч. Спирмена ρ=0,76 (ρ<0,001), который говорит о сильной связи между воспринимаемыми проблемами и желаемыми решениями.
Доминирование обучения персонала в иерархии проблем (36,9%) при одновременной высокой востребованности электронных баз знаний (27,7%) отражает понимание того, что технологические решения проблемы компетентностного разрыва требуют не просто тренингов, но создания инфраструктуры непрерывного обучения через доступ к структурированным знаниям. Это согласуется с концепцией обучающейся организации автора С. Ратнапалана, где системы управления знаниями выступают элементом организационного обучения [16].
Выраженный узкий диапазон средних оценок ожидаемого эффекта от оптимизации различных процессов (6,08-6,41) может отражать реальное восприятие системной взаимосвязанности процессов (когда улучшение одного аспекта неизбежно влияет на другие, тем самым создаётся примерно равный совокупный эффект). Это говорит о недостаточной дифференцированности оценок вследствие ограниченного опыта глубоких трансформаций у большинства респондентов. Международные исследования показывают несколько большую вариативность эффектов от оптимизации различных процессов [18].
Высокая востребованность инструментов ИИ в медицине для анализа данных (22,1%, третье место) при относительно низком текущем уровне базовой цифровизации создаёт риск технологического детерминизма, надежды на то, что передовые технологии смогут компенсировать недостатки фундаментальных процессов. Автор З. Обермейер показывает, что успешное внедрение ИИ в медицину требует зрелой инфраструктуры данных (качественные, структурированные, интегрированные данные) [15]. Попытки внедрения ИИ в медицину при отсутствии такой инфраструктуры обречены.
Умеренный уровень текущей удовлетворённости (средний балл 6,15) при наличии значительного сегмента неудовлетворенных (19,9% с оценками 1-4) указывает на высокую гетерогенность ситуации между организациями. Это предполагает необходимость дифференцированных стратегий цифровизации: для отстающих организаций приоритетом должно быть создание базовой цифровой инфраструктуры, тогда как передовые организации могут фокусироваться на внедрении продвинутых решений [5].
Относительно равномерное распределение проблем по различным функциональным областям (индекс Херфиндаля-Хиршмана=786) создаёт вызов для менеджмента: при ограниченности ресурсов возникает желание распылить инвестиции по множеству направлений вместо концентрации на приоритетах. Теория ограничений И. Голдратта говорит о необходимости фокусировки на узких местах системы для достижения максимального эффекта [19]. В условиях равномерности проблем важной становится способность идентифицировать те узкие места, устранение которых даст каскадный эффект на всю систему здравоохранения.
Заключение.
Исследование выявляет выраженную консистентность между идентификацией проблемных областей и приоритизацией технологических решений. Это свидетельствует о рациональном подходе медицинских работников к планированию цифровой трансформации. Триада доминирующих проблем: обучение персонала (36,9%), контроль качества (33,3%) и документооборот (29,5%) формирует естественную повестку приоритетов, находящую отражение в выборе инструментов и перспективных направлений. Однородность оценок ожидаемого эффекта от оптимизации различных процессов (средние значения в диапазоне 6,08-6,41) может отражать реальную системную взаимосвязанность процессов. Доминирование электронного документооборота как в проблемном поле (29,5%), так и в востребованных инструментах (31,5%) и перспективных направлениях (38,7%) указывает на важность этого направления как фундамента последующих трансформаций. Высокая востребованность электронных баз знаний (27,7%). Значительная гетерогенность уровня удовлетворённости (19,9% совершенно неудовлетворены при 29,2% высоко удовлетворены) требует дифференцированных стратегий цифровизации с учётом исходного уровня зрелости организаций. Для этого планируется провести кластерный анализ результатов анкетирования, для разделения медицинских организаций по уровню цифровой зрелости.
Источники:
2. Grigorieva N. S., Demkina A. E., Korobeynikova A. N. Digitalization in the Russian healthcare: barriers to digital maturity // Population and Economics. – 2024. – № 1. – p. 1-14. – doi: 10.3897/popecon.8.e111793.
3. Карпов О.Э., Клименко Г.С., Лебедев Г.С. Применение интеллектуальных систем в здравоохранении // Современные наукоемкие технологии. – 2016. – № 7-1. – c. 38-43. – url: https://elibrary.ru/item.asp?id=26342115.
4. Лукманов А.А., Агаев В.Н., Цыпкин Д.А. Автоматизация труда в сфере здравоохранения: преимущества, перспективы, барьеры восприятия // Здоровье мегаполиса. – 2024. – № 2. – c. 181-188. – doi: 10.47619/2713-2617.zm.2024.v.5i2;181-188.
5. Матвеева Л.Г., Козель Ю.Ю., Косенкова Е.Л. Цифровые императивы адаптации системы здравоохранения России к условиям пандемии: роль промышленности // Вестник Академии знаний. – 2021. – № 4. – c. 191-197. – doi: 10.24412/2304-6139-2021-11356.
6. Орлов Г.М. Цифровое здравоохранение в России: история трех десятилетий развития и тренды перехода к ориентации на пациента // Врач и информационные технологии. – 2024. – № 1. – c. 6-27. – doi: 10.25881/18110193_2024_1_6.
7. Братишко Н.П., Моисеенко А.А. Цифровая трансформация российской системы здравоохранения // Вестник Московского университета имени С.Ю. Витте. Серия 1: Экономика и управление. – 2025. – № 2. – c. 22-27. – doi: 10.14357/20790279250203.
8. Abulela M.A.A., Khalaf M.A. Does the Number of Response Categories Impact Validity Evidence in Self-Report Measures? A Scoping Review // SAGE Open. – 2024. – № 1. – doi: 10.1177/21582440241230363.
9. Brosnan K., Grün B., Dolnicar S. Cognitive load reduction strategies in questionnaire design // International Journal of Market Research. – 2021. – № 2. – p. 125-133. – doi: 10.1177/1470785320986797.
10. Curran, P.G. Methods for the detection of carelessly invalid responses in survey data // Journal of Social Psychology. – 2016. – № 66. – p. 4-19. – doi: 10.1016/j.jesp.2015.07.006.
11. Daly A. Dummy coding vs. effects coding for categorical variables: clarifications and extensions // Journal of Experimental Education. – 2015. – № 4. – p. 505-526. – doi: 10.1016/j.jocm.2016.09.005.
12. Kang H.-Y., Lee A.H.I., Chan Y.-C. An Integrated Fuzzy Multi-Criteria Decision-Making Approach for Evaluating Business Process Information Systems // Mathematics. – 2019. – № 10. – p. 982. – doi: 10.3390/math7100982.
13. Karamat J., Shurong N., Ahmad N. Enablers supporting the implementation of knowledge management in the healthcare of Pakistan // International Journal of Environmental Research and Public Health. – 2018. – № 12. – p. 2816. – doi: 10.3390/ijerph15122816.
14. Meade A.W., Craig S.B. Identifying careless responses in survey data // Psychological Methods. – 2012. – № 3. – p. 437-455. – doi: 10.1037/e518362013-127.
15. Obermeyer Z., Emanuel E.J. Predicting the future - Big data, machine learning, and clinical medicine // New England Journal of Medicine. – 2016. – № 13. – p. 1216-1219. – doi: 10.1056/NEJMp1606181.
16. Ratnapalan S., Uleryk S. Organizational learning in health care organizations // Systems. – 2019. – № 1. – p. 4. – doi: 10.3390/systems2010024.
17. Si H., Kavadias S., Loch C. Managing innovation portfolios: From project selection to portfolio design // Production and Operations Management. – 2022. – № 12. – p. 4572-4588. – doi: 10.2139/ssrn.4050940.
18. Trout K.E., Chen W., Ashikaga M. The Impact of Meaningful Use and Electronic Health Records on Hospital Patient Safety // International Journal of Environmental Research and Public Health. – 2022. – № 19. – p. 12525. – doi: 10.3390/ijerph191912525.
19. Watson K.J., Blackstone J.H., Gardiner S.C. The evolution of a management philosophy: A theory of constraints // Journal of Operations Management. – 2007. – № 2. – p. 387-402. – doi: 10.1016/j.jom.2006.04.004.
20. Zelmer J., Ronchi C., Hyppönen A. et al. International health IT benchmarking: learning from cross-country comparisons // Journal of the American Medical Informatics Association. – 2016. – № 2. – p. 371-379. – doi: 10.1093/jamia/ocw111.
Страница обновлена: 10.05.2026 в 17:29:03
Download PDF | Downloads: 4
Digital transformation of medical organizations' business processes: correlation analysis of the relationship
Bulatnikov V.V.Journal paper
Journal of Economics, Entrepreneurship and Law
Volume 16, Number 4 (April 2026)
Abstract:
The article analyzes the problems in the digital transformation of medical organizations. Using the correlation analysis of the relationships between current problem areas of business processes and in-demand innovative solutions aimed at the future, the article identifies prioritization in digital transformation.
Based on the survey of 390 medical employees of healthcare institutions in the Russian Federation, the article reveals a hierarchy of problems: employee training comes first, followed by quality control of medical care and document management. Correlation analysis has shown a close relationship between the perception of bureaucratic workload and the demand for electronic document management systems, as well as between the shortage of qualified personnel and the interest in electronic knowledge bases and medical decision support systems. At the same time, the connection with the artificial intelligence tools for medicine data analysis turned out to be less pronounced.
In the context of document management, the medical staff's demand for digitalization is ahead of the awareness of other problems.
This signals a willingness to change, whereas there is a significant gap in the field of knowledge management. The problem is acute, but innovative tools for solving it are underestimated. As a result, the directions of digitalization are chosen mainly rationally and are focused on routine automation.
Keywords: healthcare digital transformation, healthcare business process, innovative solutions, medical personnel survey, correlation analysis, GAP analysis
JEL-classification: I11, I15, M21
References:
Abulela M.A.A., Khalaf M.A. (2024). Does the Number of Response Categories Impact Validity Evidence in Self-Report Measures? A Scoping Review SAGE Open. 14 (1). doi: 10.1177/21582440241230363.
Bratishko N.P., Moiseenko A.A. (2025). Digital Transformation of the Russian Healthcare System. Vestnik Moskovskogo universiteta imeni S.Yu. Vitte. Seriya 1: Ekonomika i upravlenie. 12 (1). 19-26. doi: 10.14357/20790279250203.
Bratishko N.P., Moiseenko A.A. (2025). Digital Transformation of the Russian Healthcare System. Vestnik Moskovskogo universiteta imeni S.Yu. Vitte. Seriya 1: Ekonomika i upravlenie. 75 (2). 22-27. doi: 10.14357/20790279250203.
Brosnan K., Grün B., Dolnicar S. (2021). Cognitive load reduction strategies in questionnaire design International Journal of Market Research. 63 (2). 125-133. doi: 10.1177/1470785320986797.
Curran, P.G. (2016). Methods for the detection of carelessly invalid responses in survey data Journal of Social Psychology. (66). 4-19. doi: 10.1016/j.jesp.2015.07.006.
Daly A. (2015). Dummy coding vs. effects coding for categorical variables: clarifications and extensions Journal of Experimental Education. 83 (4). 505-526. doi: 10.1016/j.jocm.2016.09.005.
Grigorieva N. S., Demkina A. E., Korobeynikova A. N. (2024). Digitalization in the Russian healthcare: barriers to digital maturity Population and Economics. 8 (1). 1-14. doi: 10.3897/popecon.8.e111793.
Kang H.-Y., Lee A.H.I., Chan Y.-C. (2019). An Integrated Fuzzy Multi-Criteria Decision-Making Approach for Evaluating Business Process Information Systems Mathematics. 7 (10). 982. doi: 10.3390/math7100982.
Karamat J., Shurong N., Ahmad N. (2018). Enablers supporting the implementation of knowledge management in the healthcare of Pakistan International Journal of Environmental Research and Public Health. 15 (12). 2816. doi: 10.3390/ijerph15122816.
Karpov O.E., Klimenko G.S., Lebedev G.S. (2016). Application of Intelligent Systems in Health Care. Sovremennye naukoemkie tekhnologii. (7-1). 38-43.
Lukmanov A.A., Agaev V.N., Tsypkin D.A. (2024). Automation of labor in the healthcare sector: advantages, prospects, barriers to perception. Zdorove megapolisa. 5 (2). 181-188. doi: 10.47619/2713-2617.zm.2024.v.5i2;181-188.
Matveeva L.G., Kozel Yu.Yu., Kosenkova E.L. (2021). Digital Imperatives of Adapting the Russian Healthcare System to the Pandemic: The Role of Industry. Vestnik Akademii znaniy. (4). 191-197. doi: 10.24412/2304-6139-2021-11356.
Meade A.W., Craig S.B. (2012). Identifying careless responses in survey data Psychological Methods. 17 (3). 437-455. doi: 10.1037/e518362013-127.
Obermeyer Z., Emanuel E.J. (2016). Predicting the future - Big data, machine learning, and clinical medicine New England Journal of Medicine. 375 (13). 1216-1219. doi: 10.1056/NEJMp1606181.
Orlov G.M. (2024). Digital healthcare in Russia: the history of three decades of development and trends in the transition to patient orientation. Vrach i informatsionnye tekhnologii. (1). 6-27. doi: 10.25881/18110193_2024_1_6.
Ratnapalan S., Uleryk S. (2019). Organizational learning in health care organizations Systems. 7 (1). 4. doi: 10.3390/systems2010024.
Si H., Kavadias S., Loch C. (2022). Managing innovation portfolios: From project selection to portfolio design Production and Operations Management. 31 (12). 4572-4588. doi: 10.2139/ssrn.4050940.
Trout K.E., Chen W., Ashikaga M. (2022). The Impact of Meaningful Use and Electronic Health Records on Hospital Patient Safety International Journal of Environmental Research and Public Health. 19 (19). 12525. doi: 10.3390/ijerph191912525.
Watson K.J., Blackstone J.H., Gardiner S.C. (2007). The evolution of a management philosophy: A theory of constraints Journal of Operations Management. 25 (2). 387-402. doi: 10.1016/j.jom.2006.04.004.
Zelmer J., Ronchi C., Hyppönen A. et al. (2016). International health IT benchmarking: learning from cross-country comparisons Journal of the American Medical Informatics Association. 24 (2). 371-379. doi: 10.1093/jamia/ocw111.
